
Wanting to nailHSC PhysicsModule 1: Advanced Mechanics with some practice questions?
You’ve come to the right place!
We’ve created practice questions for all three topics in the Advanced Mechanics module:
- Projectile Motion:where objects fall while travelling forwards/backwards/sideways (or not travelling – just falling)
- Circular Motion:where objects swing around in circles (or briefly do part of a circle)
- Orbiting things:where things swing around planets in circles while falling gravitationally
Notice number 3 is just the combination of 1 and 2!
In this article, we’ll develop your solving strategy and work through a bunch of sample questions in Advanced Mechanics.
So, what are you waiting for? Let’s jump straight in!
Projectile Motion
Question #1
Question #2
Question #3
Circular Motion
Question #4
Question #5
Gravity
Question #6
Question #7
Question #8
Projectile Motion

Tips
Tip #1:Make your diagram as big and as neat as possible.
Tip #2:Make angles and relative lengths of vectors as realistic as possible.
Tip #3:Stick to what you know is true – assume nothing!
So, let’s dig into some questions!
Question #1
A catapult launches a 2.0 kg rock at 3.2 m/s, 30° elevation, from a 7.0 m high rooftop. How far will the rock have travelled horizontally by the time it’s at the top of its flight?
The Set-up:
Step 1:Diagram the whole situation and label everything. Pick a direction to call positive.
Step 2:Make a ‘facts box’ of the question info already tagged on your diagram.
Step 3:Make a box of ‘always true’ statement. Choose how to handle negatives.
It should end up looking something like this:

Note:We took care of negative signs in Step 3 by “pulling the negative” out ofgsincegpoints towards decreasingy.Since we’ve already accounted for direction, everything we sub in is positive from now on.
The Solving:
Step 4:The question wants to know about thexdistance covered while the rock is on its way up toH.
Let’s pull an ‘always true’ statement out of the toolbox for thexdirection and see if it leads us straight to the answer or not:

Not quite!But we already knowv0(from the ‘facts box’) and if only we knewtH(the time taken to get up toH),we’d have the answer in our hands.
But we can’t apply anymore ‘always true’ statements in thexdirection, so let’s scene shift to theydirection:
Let’s take the first relation in the “always-true” toolbox for theydirection. It hastin it (the thing we’re trying to find out) and it looks like it’s going to fall apart in to something easier!
Projectiles arriving at the top of their flight must stop going upwards before turning around to fall. At the very moment of being atH(let’s call that momenttH),vy= 0.

In projectile motion, look for equations that are going to fall apart in to something easier (often this means equations where you canmake something zero).
What were we saying before? “If only we knew t, we’d immediately know the answer”

The Solution:
Step 5:
Sanity-check: Gravity removes 9.8 m/s of velocity from the upwards direction every second.
It’ll remove 3.2 m/s of upwards velocity in less than a secondi.e. the rock should be at the top of its flight very quickly and won’t have had a chance to displace very far forwards.
Answer: The rock will have travelled 0.45 m horizontally by the time it’s at the top of its flight.
Question #2
In the previous question, determine the total horizontal displacement.
The Set-up:

Note the clearly-stated positive direction forxandy; Also, negatives handled already in the equations (so all inputs will be positive,i.e.g= 9.8 m.s-2)
Once you’ve set-up, apply ‘always true’ statements to thexandydirections independently:

The Solution:
Sanity-check: The cannonball should spend more time falling than it spent rising up (since it falls below/past its starting height). It should have displaced more than twice 0.45 m (i.e.0.9 m), but not dramatically further. 3.0 m sounds totally reasonable.
Answer: The total horizontal displacement of the rock is 3.0 metres to the right.
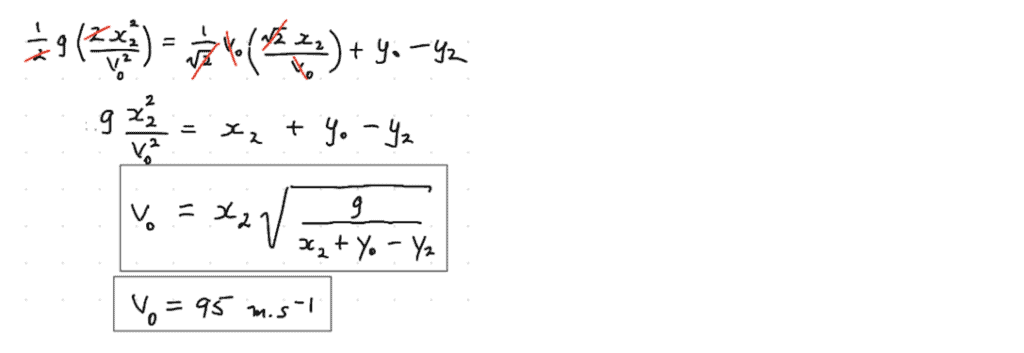
Question #3 (Challenge Question)
A cannonball is fired from sea at 45° elevation, impacting on land ashore (20 m above sea level, 900 m away). If the ship’s cannon is 5 m above sea level, what was the magnitude of the launch velocity?
The Set-up:

The Solving:
Let’s put an ‘always true’ statement down in thexdirection and see where it leads us:

The thing we want to find isv0(and we already knowx2from our ‘facts’ box), butt2is going to be tricky to find). That’s as far as we can go in thexdirection for the moment.
把一个“always-true”statement down in theydirection and see if that goes anywhere:

Another Roadblock:t2’s the problemagain. If only we could ditcht2, we’d be there…
From our work in thexdirection, we can re-expresst2(the only thing we don’t know in the above equation) in terms of things that we either already know (x2), or want to find-out as the end-goal (v0):

A-Ha! If we put *that* in fort2in ourydirection equation:

The only thing we won’t know now will bev0(the thing we’re trying to find out):

You don’t have to bother yourself with restating the direction because the question only wants to know about the “magnitude” of the initial velocity.
The Solution:
Sanity-check: This is about 340 km/h: Reasonable for a cannonball travelling almost a kilometre.
Answer: The initial launch speed of the cannonball is 95 m/s.
The Take-home for Projectile Problems
Lesson #1: It will often not be immediately clear how to proceed.
The key is in laying-down those ‘always true’statements about the going-ons in thexandydirections. Stick to these ‘always true’relationships and assume nothing. Stick to the script.
Lesson #2: Experience is a huge factor.
How do you become expert at anything? Trip over it enough times that you’ve got it mastered!
If someone can solve a particular exam question and you can’t, it’s often the case that they’ve had theexperienceof being unable to solve that type of question before exam day (whereas you’re having that experience for the first time in the exam).
Burn through as many practice questions as you can get your hands on. Get experienced.
Circular Motion

Tips
Tip #1:The key to decoding every question in this topic is making a correctNewton’s Law statementas your ‘always-true’key.
Tip #2:Let your brain swim in YouTube videos about Newton’s three laws until you’reabsolutely confidentthat you understand them – they unlock this topic.
Newton’s Laws in Everyday Language
First Law
Things keep doing whatever they’re doing (in straight lines) until an unbalanced amount of force acts to make them change what they’re doing.
You don’t need to push something to keep it moving – in fact, you need to push it to make itstopmoving (if it’s already moving).
Pushes/ pulls are needed to *deviate* objects out of their straight-line status quo!
Second Law

Look closely –When a rigid object feels an unbalanced amount of force (and changes its motion), all the individual atoms change their motion together.
The force gets rationed out to all atoms present. If there’s a lot of “stuff”/matter in an object, the Newtons get spread thinly (each atom receiving a lesser share) and the atoms in the object (all together) accelerate less;Massive objects respond less to the same force.
Mass measures force-insensitivity. Mass *is* inertia.
In circular motion, Newton’s 2nd Law is just this:

Third Law
“Every action has an equal and opposite reaction.”
Erase this from your brains. Erase it!! Replace it with this:
“如果一个对象感到一种力量,因为它pushed something *else* just as forcefully (the other way). The response depends on mass.”
Theforcesare equal (and always acting ondifferent objects– there are always two objects involved inanyforce situation).
The two objects push apart with the same Newtons, but the actual “reactions” (motion change) of the individual objects are determined by their masses/inertia.
Question #4
A new road takes cars down one side of a valley and up the other side. The lowest point is a circular arc (radius of curvature: 30 m). What speed limit should be assigned to the stretch of road (50, 60, 80, 110 km.h-1) so that that maximum amount of normal force experienced by drivers is not more than 2.5 times their weight?
The Set-up:

Let’s make aNewton’s Law truth statementalong the centripetal-direction:

Remember:It’s thenet数量的力作用向心地曲线the motion in to a circle (in the same way it’s the net amount of linear force that leads to linear acceleration).
The question wants to know what happens when:

The Solving:

The Solution:
Sanity-check: Answer is within the range needed to answer the question.
Answer: Hence a speed limit of 60 km.h-1is needed, since 80 km.h-1would require a normal force corresponding to more than 2.5 g’s.
Question #5
A (900 kg) race-car drives over a rounded hill section (radius of curvature: 40 m) at 70.2 km.h-1. Determine the magnitude of the normal force, N, on the car, at the apex (in g’s).
The Set-up:

There’re really only two options:
- Either the car’s fixed weight force has insufficient pull to stick it to the curvature and it tends out towards a higher radius (i.e.it gets airborne, in the direction of its inertia, with no normal force);
- orNcovers up the right amount ofW, so that what’s left over is the right number of Newtons: Either way, expectN<W.
The Solving:
State Newton’s 2nd Law in the centripetal direction.

Note:We already handled the negatives at the start (-N), so g = +9.8 m/s2.

The Solution:
Sanity-check:As expected, N < W. Consistent with experience of driving over hills.
Answer: The normal force on the car corresponds to 0.03 g
Gravity
Question #6
Use the fact that the average Earth-Sun distance is about 1.5 × 108km to determine the orbital period of Pluto (average orbital radius: 6 × 109km) in Earth years.
The Set-up:

Step 1:因为这是天文学,开始创造ing a hilariously not-to-scale diagram of the situation.
Step 2: Make a statement of Kepler’s Third Law (from your toolbox of ‘always true’statements).
The Solving:

Note:Look closely at the upper boxed-equation above. As long as both radii are in the same unitsas each other, their units will cancel out (so why other converting them?).
SinceTwill be determining the units, I can sub it in however I like (in this case, in earth years).
The Solution:
Sanity-check: While the answer means Pluto won’t even get close to doing a half-orbit in your entire life-time even if you live to 100, it’s perfectly sensiblephysics,as outer solar system objects travel slower and have greater distances to cover.
Answer: The orbital period of Pluto is 253 Earth years.
Question #7
The Earth’s pole-to-pole diameter (12713.6 km) is shorter than its equatorial diameter (12756.2 km).
Determine by what percent factor gravity is stronger at the poles compared to at the equator.
The Set-up:
The question wants a direct comparison: In physics, that meansnumbers. Let’s find the field-strength ratio between the g-fields.

The Solution:
Sanity-check: Totally reasonable. We weren’t expecting anydramaticdifference.
Answer: Polar g-field strength is 0.6% stronger than at the equator.
Question #8
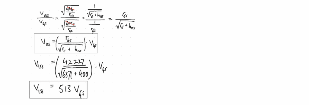
“Compare the International Space Station’s orbital velocity to that of a geostationary satellite, given that the ISS orbits at an altitude of 400 km and the Earth’s diameter and mass are 12742 km and 5.97 × 1024kg”.
The Set-up:

Let’s make aNewton’s 2nd Lawstatement in the centripetal direction and see where it takes us.

OK! Wecouldcompare the orbital speed of the ISS to a geostationary orbit, if only we knew where geostationary orbits actually happen (i.e.if we knewrGS).
The Solving:
Let’s make another “always-true” statement involvingrGS,Kepler’s Third Law.

Nowwe can do the comparison the question wants.

The Solution:
Sanity-check:Closer-in orbits (i.e.400 km altitude, vs 35856 km altitude) are faster-moving (to balance the greater inwards-pull of gravity there), so this makes sense.
Answer: The ISS orbits at 513 times the orbital velocity of a geostationary orbit
And that wraps up the last of our HSC Physics Advanced Mechanics practice questions!
When you’re working through questions, always remember to diagram everything out big and neat, only apply tools to questions that youknoware true (i.e laws) and get as much practice as possible so you can get experience as a problem solver!
Looking for some extra help with HSC Physics?
We pride ourselves on our inspirational HSC Physics coaches and mentors!
We offer tutoring and mentoring for Years K-12 in a variety of subjects, with personalised lessons conducted one-on-one in your home or at our state of the art campus in Hornsby!
To find out more and get started with an inspirational tutor and mentorget in touch today!
Give us a ring on 1300 267 888, email us at[email protected]or check us out onFacebook!
