
努力了解你的HSC物理公式吗?
它可以觉得在HSC物理学中有这么多不同的公式,但我不能强调你能够认识到,解释和知道如何使用这些公式的重要性!
幸运的是,在本文中,我们将为您提供一个逐步指导,以真正掌握HSC物理公式!
所以,让我们开始吧!
为什么了解HSC物理公式很重要?
第一步:确定所有你需要知道的公式
第二步:找出没有给你的公式
第3步:确定何时在考试中使用每个公式
第四步:确定公式告诉你什么
第5步:练习你的HSC物理公式
步骤6:将HSC物理公式写入内存
为什么了解HSC物理公式很重要?
理解公式的工作原理比死记硬背更重要!
如果你记住一个公式而不理解它,你就不能应用它。
如果您无法将正确的公式应用于问题,则不会获得正确的答案,并且您将丢失标记!
所以,我们将介绍你如何绝对掌握HSC物理公式并获得那频段6!
第一步:确定所有你需要知道的公式
拿起公式表、教学大纲和你选择的课本
你可以拿一份这里是第38页的公式表.
你可以得到HSC物理教学大纲在这里。
至于课本,我个人推荐Physics in Focus。
课本中的方程式被突出显示并解释了所有术语,使它们易于查找和理解。通常在介绍公式之后会有一些例子,这样您就可以看到它是如何使用的。
(图片来自物理学聚焦[ISBN-13: 9780170226769]第33页)。
第二步:找出没有给你的公式
虽然在HSC物理中有一个非常有用的公式表,但有一些公式是缺失的。(提示:轨道速度是这样一个被遗漏的公式,还有其他的吗?的)
(图片来自物理学聚焦[ISBN-13: 9780170226769]第33页)。
行动点!
一页一页地浏览课本,找到公式就在公式表上划掉。但是我向你保证,还是有一些缺失的,你的任务是找到每一个并记录下来。
第3步:确定何时在考试中使用每个公式
一旦确定了所需的所有公式,就是时候识别你需要每个人!我本可以要求你这样做,而你经历教科书,并且在你面前有这个话题,我这样做是这样的,因为我希望它成为记忆挑战;你能辨别出每个公式的来源吗?
这是快速审计的好方法。如果您准备好了并密切阅读了教科书,您应该记住!
如果不是,那也没关系,这可以让你大开眼界,看看在阅读时积极地集中注意力和只是略读之间的区别。
有足够的曝光问题,并且足够的参考回到公式,你会记得大多数人的机会,并且只有几个你不确定。只要返回那些,直到你觉得某些主题公式属于哪些。
我们有意地一步一步来——你不必对每一种配方都百分百有信心,我也不期望你能记住所有的配方。我只是想让你们确定这些公式来自于哪个主题。
现在你知道了这些公式来自哪些主题,让我们开始真正理解它们吧!
第四步:确定公式告诉你什么
问问你自己:这个等式里有哪些项?
这应该是你看公式时首先问自己的问题,你知道所有条款是什么吗?
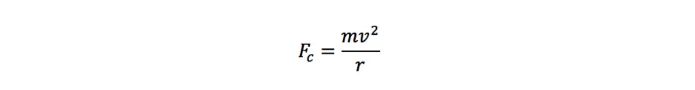
让我们考虑早期的轨道速度等式:方程式中的质量是多少?是轨道身体的质量,还是正在轨道的地球的质量?
它是绕轨道运行的行星的质量!
我认为,重要的是不仅要理解等式中有什么,而且要理解等式中没有什么!
这可能听起来很奇怪,但再次考虑轨道速度的方程,注意不涉及轨道体的质量。这意味着无论羽毛是绕地球还是是月亮,所以它们都是在同一半径上的轨道上,他们将与同一速度相同!这是一些强大的东西,所有信息都包含在一个方程中。
问问你自己:这些公式是从哪里来的?
我们已经谈到了我们可能继续的轨道速度。你知道它来自哪里吗?
请记住,保持身体在圆圈中移动我们需要一定心的力量。IE。

我们也知道这个力一定是由重力引起的,因为重力是一个中心力,没有其他力在起作用。IE。

试着理解你使用的公式是从哪里来的.
您不需要在考试中派生它们,但知道他们来自可以帮助的地方。经过一个像上面的一个衍生品,你遇到的不同公式可以让你深入了解物理背后的物理。
问问你自己:单位是什么?
确保您了解您方程中的单位。
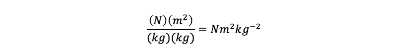
例如,在上面的等式中,假设,质量和径向距离分别以千克和米为单位测量。从计算中获得的结果速度应为每秒米。单位必须匹配!这是为什么?
在此计算中,一切必须在米和千克的原因实际上是因为重力常数已经定义了。您会发现NESA在SI单位方面定义了常量。(因为他们应该!1999年NASA损失了大约1.25亿美元因为他们到处都是自己的单位,而且东西都不匹配!这表明即使是最优秀的人也会犯错误,所以要小心!)

我们在这里偶然发现的是量纲分析,它非常强大!现实世界的物理学家每天都用它来确保他们的理论预测是有意义的。我们可以用它来检查方程是否有意义,它只是一个漂亮的词来确保单位匹配!让我们看看它是如何运作的。
考虑牛顿万有引力定律:

让我们重新安排一下G:

如果我们看一下右边的单位,我们知道重力常数必须有相同的单位:

您可以确切地找到符合公式表!
第5步:练习你的HSC物理公式
好的...我知道公式,我如何使用它?
你现在应该知道方程中的项是什么,但是你能在具体的问题中找出它们吗?
我们应该在下面的问题中使用哪种等式?

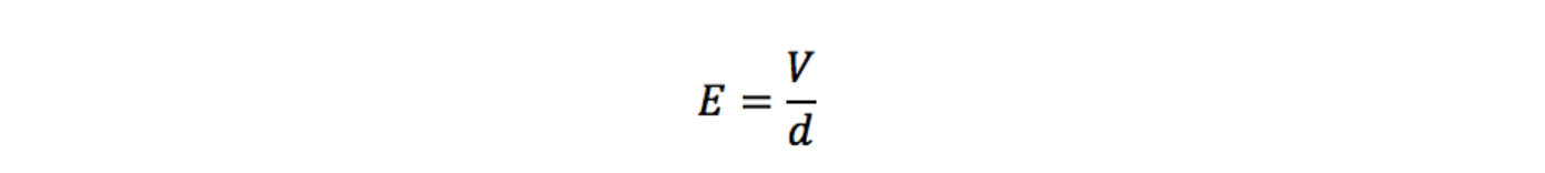
这个问题说:"两个带电板之间产生电场".我们只知道一个关于带电板和电场的方程,它一定是:

问问你自己,你被要求解决什么?在这种情况下它是V,所以我们最好重新排列一下方程。

在这一点上,我愿意故意犯一个错误,希望你不会犯同样的错误!我们将使用前面的技巧(量纲分析)来捕获错误。我们知道电场强度E,以及分离距离d,所以我们代入!

注意米和厘米的单位不会取消!我们需要换成米。

更好的!这可能不是你第一次听说你的单位必须是国际单位,这可能已经从你的老师灌输给你,但希望你现在明白为什么我们这么做,我们需要单位匹配!
小贴士:越晚更换越好!明智地使用你的计算器!
请注意,直到最终没有替代:总是尝试重新排列你的方程,并尽可能晚地代入。
物理中的数字通常是令人难以置信的大或不可思议的小!将它们键入您的计算器可以是噩梦,更不用说易于错误,所以尽可能晚尝试。立刻思考一次!
现在值得一提的另一件事是充分利用你的计算器.如果你还不知道,你可以在计算器中存储数字!这在物理学中非常有用因为这些丑陋的大小数字。它可以让输入更容易,所以你可以在屏幕上更容易地容纳更多的计算,并且它可以让错误的机会小得多!
我知道HSC学生最喜欢的是卡西欧FX-82AU Plus——它是最常见的计算器之一。如果你有一个不同的计算器,你应该能够找到如何在用户手册中存储数字。你们大多数人都有下面图片里的计算器。

下面是存储数字的过程,如果你有卡西欧:
对于这个例子,让我们将光速存储在计算器中,这样我们就不必每次都输入它!
- 只需在计算器中输入3*10^8,然后按“=”
- 现在按“Shift”,然后按“RCL”,您将在键上看到字母“STO”,这允许我们存储一个数字。我在上面的图片中旋转它。
- 现在我们将选择要存储它的字母。(我推荐C,因为它符合物理学的惯例。)要将其存储在字母“C”,只需按“HYP”(你不需要按“阿尔法”之前选择你想要的字母。)
当你下次想要用光速的时候,你就不用把它打出来了,只要用" C "就可以了。要使用“C”,只需按“ALPHA”,然后按“HYP”。
这可能会让你第一次感到困惑,所以你应该多加练习。试着储存基本电荷,或者电子伏特在字母“E”中。
- 请记住,在存储时,您不需要按“Alpha”
- 当你想要使用你储存的字母时,你需要按“ALPHA”
步骤6:将HSC物理公式写入内存
我离开了这个直到最后有充分的理由。当你不明白时,很难记住一些东西,更重要的是,我认为这是毫无意义的。这就是为什么我们花了这次,以确保你真正了解所有这些公式,现在记住它们不应该太难。
对于那些努力记公式的人,我不会太担心,大多数都在公式表上!如果你已经按照上面的步骤做了,并且已经确定了没有在纸上的那些,你只需要记住那些!
如果你已经看了推导过程和公式的来源,你应该能够在考试中重新推导它。如果你不记得了,还有我们的好朋友量纲分析它可以告诉你,你的思路是否正确。请用手写出这些公式,这可能会有很大的不同,确保你也使用它们,做一些问题!
在寻找HSC物理的额外帮助吗?
我们为我们鼓舞人心的HSC物理教练和导师感到自豪!
我们为K-12年的学生提供各种科目的辅导和指beplay安卓西西软件导,在您的家里或在霍恩斯比的艺术校园进行一对一的个性化课程!
想要了解更多,就从一个鼓舞人心的导师开始吧今天就联系!
来自Srinivasan希望揭开宇宙的下一个隐藏的真理。他在他的HSC中对物理和数学的美丽感到着迷,他继续在大学学习物理学。他现在在物理/计算机科学的第二年的第二年。他非常喜欢物理和数学,他想分享他的激情,过去两年是聪明教练的艺术。beplay体育官方他帮助了物理学的教练以及从一般到延伸的所有范围。在业余时间,您可以找到他观看网球或一级方程式1或者也许听他最喜欢的播客'Hello Internet'。
