
Have you completed Units 1 and 2 of QCE Chemistry and want to get a head start on preparing for your external assessment?
As the external exam is worth 50% of your final grade, it is arguably the most crucial piece of assessment in Chemistry! It can cover any and all content from Units 3 and 4, so it’s essential that you’re on top of your game when the external exams roll around.
Although this may sound daunting, through detailed planning, preparation and practice, there is nothing to fear.
Keep reading to learn our key strategies for acing your Chemistry external assessment!
行动来实现全年勒ad Up to the Exam
How to Prepare When There’s Only 2 Months Left
The Day Before the Exam
During the Exam
After the Exam
行动来实现全年勒ad Up to the Chemistry External Assessment
As you’re studying content for the subject throughout the year, there are various things you can do to start preparing for your final exam. Following these 7 steps can be very helpful!

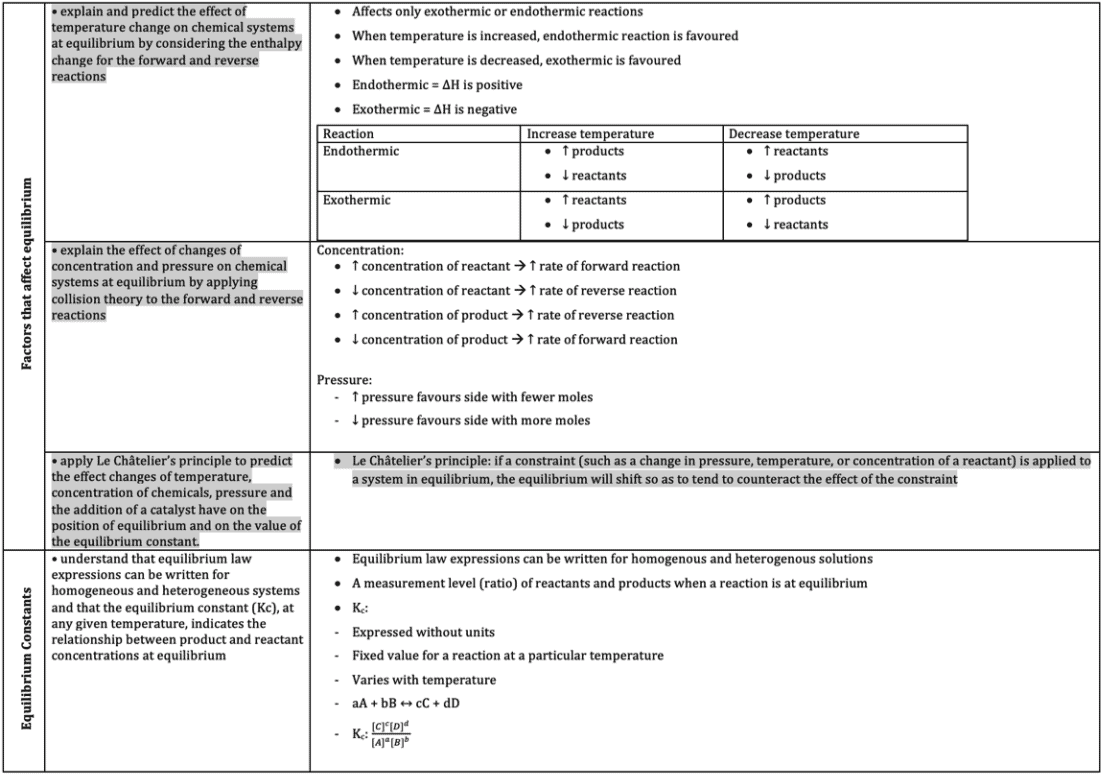
Step 1: Create a Revision Table Using the Syllabus Dot Points
Following the example below,the first column consists of a topic from the syllabus (e.g. factors that affect equilibrium). The second column consists of the subject matter dot points under that particular topic(number of dot points will vary — this can be a good indication of how important a topic is!).
The third column consists of theactual content that is covered by the associated subject matter dot point.You can make this section much more detailed, by including pictures, diagrams, tables and links to websites or videos.
Finally, it’s not evident here, but it would be good to also include a fourth column consisting ofexample questions relating to each subject matter dot point.
Create the actual table during the holidays before you start each unit.Once you start the unit, fill out each section as you cover it in class. This can also be an excellent way to identify any gaps in your knowledge!

Step 2: Make a Weekly Study Timetable
Of course, things come up in life and you’re not always able to stick to the plan. However, it is important tohave a general guide for yourself.
How much study you need to do for each subject is different for every student. For Chemistry, however,at least 3 hours of study a week (outside of class time) is ideal.
Some weeks you may need to do a little more, and some weeks you’ll find that you don’t need the 3 whole hours to go over the content. In this case,use the rest of the time to revise previous topics — which leads us to our next step!
Step 3: Have Regular Study Sessions to Revise Previous Content
As previously mentioned,you may be required to recall information during the external exam that you first learned up to 12 months prior.This means that cramming before the exam won’t work!
Instead,utilise shorter, more frequent study sessions to improve the chances of the information depositing in your long-term memory.Along with this, ensure to go back and revise earlier topics throughout the year to consolidate your knowledge.
Step 4: Review Content You’ve Learnt After School
Review what you covered at school each day after coming home to consolidate your knowledge and identify any gaps you may have. Ideally,review each concept within 1 hour of learning it, again within 24 hours of learning it, and then again within 1 week of learning it.
This method drastically improves active recall abilities and means you don’t have to relearn everything three weeks before the exam.
Step 5: Make Diagrams, Flow Charts and Graphics Your Best Friend
Don’t hesitate to use diagrams, flow charts and pictures to help you understand things. This is especially useful in Chemistry, as you will belearning about a number of different processes and structures which will require visual representation.
It can also be muchmore engaging to study a diagram as opposed to simply reading paragraph after paragraph.After all, a picture can tell a thousand words! See examples below:

Image sourced fromScience Geek

Step 6: Clarify Any Uncertainties ASAP
This is important asyou don’t want to accidentally learn something that is incorrect,especially if it is a basic concept that is going to be built on later.
So as you’re studying, if you have any questions about the content, try to do some research on it and if you still need more clarity, you can ask your teacher the next time you have class!
Step 7: Complete a Range of Practice Question Styles
If there’s a style of question you find yourself struggling with, then it’s the style of question you should be doing the most practice on.
Check out ourshort answer practice questionsandmultiple choice questionsfor the Chemistry external assessment!
How to Prepare When There’s Only 2 Months Left
Tip #1: Make sure you are well rested leading up to the exam
For the external exams,not only is understanding the content important, but so is being in a good mindset.If you put in the hard work earlier in the year, leading up to the exam you can focus on improving your mental health (e.g.getting better sleep, meditating, spending quality time with friends and family) so that you are ready to face the exam.
如果你学过的所有内容,只有to revise in the weeks before the exam, that’s one less thing to stress about.
Tip #2: Get feedback on your answers
Get your teachers to read your answers to practice questions and get feedback on where you may be losing marks. You can even create your own questions using the syllabus subject matter dot points.
Tip #3: Don’t memorise formula provided
Remember, you’re provided with a formula and data book for the exam, sodon’t bother memorising things that you can already find in there.
Alternatively,get used to referring to the booklet and gain a rough understanding of where in the booklet you can find certain things(i.e. the list of acid-base indicators is towards the end of the booklet, whereas the formulas are at the start).
Tip #4: Don’t be afraid to reach out for help!
Ask your friends, teachers, parents or school for support when you need it. Don’t wait till you feel like you’re reaching a breaking point to reach out and remember to check in with your friends too.
Tip #5: Complete a practice exam
Once you’ve covered a wide range of practice questions, try doing an actual practice exam.
At first, you might not complete it under timed conditions, and you may have your notes with you.However, once you’re comfortable with this, it is important to try completing the practice exams in as close to real exam conditions as you can get.
Reallytry to simulate exactly what it will be like on the exam day: silent, timed conditions, and a fresh formula booklet(not the one you’ve been using all year with your extra notes scribbled on it!).
The point of replicating the exam isso that you know exactly what to expect going into the examination room— no surprises and no distractions from doing your best!
The Day Before the Exam
The day before the exam should be purely relaxation oriented.Make sure you get a good night’s sleep and have everything that you need for the exam organised and ready to take with you in the morning(pencils, pens, calculator etc.).
Light revision is fine but try not to cram any serious study as this will only make you moreanxious!
During the Exam

#1: Ensure to read every question carefully
A useful technique is tounderline the key parts of each question and make a little mental or physical note of what steps are required to answer the question. Also make note of the cognitive verb that is used in the question, as this will let you know exactly how to answer it.
If you want to know more about cognitive verbs and their meanings, check out the QCAA Glossary of Cognitive Verbshere!
#2: Remember that the multiple choice questions are only worth one mark each
So don’t spend too much time on them.You have a 25% chance of getting them right even if you guess,so you’re better off allocating more of your time to the short-answer questions!
#3: Estimate how long you should spend on each section
Make a rough timeline as to how many of the questions you want to have finished by a particular time(e.g. ‘I want to be finished up to question 10 by half-time, as the last 5 questions are worth more marks and will take longer’). Make sure to refer to and stick to this timeline throughout the exam so that you don’t unknowingly run out of time.
#4: You don’t have to complete the questions in order
It can be good to smash out the questions you are confident with first to ensure that you can bank those marks, thencome back to ones that you are less sure about later.
# 5:你的反应是由多少长度marks it’s worth
Use how many marks a question is worth as a guideto how detailed your answer needs to be and/or how long it should take you to answer it.
#6: Double check your answers with calculations
With questions that require calculations,once you have the answer, ensure that you write the correct units(if applicable).
Also,stop and think to yourself if the answer you have arrived at is reasonable.If not, go back and check if you’ve made an error in your process or calculations!
After the Exam
Make sure tocongratulate yourself for getting through Units 3 and 4 of Chemistry and the external assessment;it is no small feat!
If you find yourself comparing answers with your classmates and think you may have gotten one or two wrong — don’t stress.Especially once scaling has been applied, your mark could be much higher than you think so stay optimistic!
Are you looking for some extra help with the QCE Chemistry External Assessment?
We have an incredible team of QCE tutors and mentors!
We can help you master the Chemistry syllabus and ace your upcoming Chemistry assessments with personalised lessons conducted one-on-one in your home or online!
We’ve supported over8,000 students over the last 11 years, and on average our students score mark improvements of over 20%!
To find out more and get started with an inspirational QCE tutor and mentor,get in touch todayor give us a ring on1300 267 888!
Yalindi Binduhewais an Art of Smart tutor based in Queensland and was part of the very first cohort to go through the ATAR system, so she knows exactly how fun and enjoyable it can be. She is currently studying a Bachelor of Medical Imaging (Honours) at QUT and is loving it. When she’s not doing uni-related stuff or tutoring, she’s hanging out with her friends, rewatching a show for the 100th time, or trying out new crafty projects and discovering that she doesn’t have a talent for everything.
