
It can be hard to find good practice questions to help you prepare for your QCE Chemistry External Assessment (EA). To study well, you’ll obviously want practice questions with answers to refer back to, so you know where to improve!
幸运的是,我们已经完全得到了这一点。一旦您完成了25个化学EA练习问题,您将能够下载解决方案。
渴望开始学习?我们走吧!
化学EA练习问题
问题1(1标记)
解释在可逆反应中达到动态均衡状态的意义。
问题2(3分)
下图是电化学电池。在图上标记以下内容:
(一种)The positive electrode (cathode) and the negative electrode (anode)
(b)The direction of the flow of electrons
(c)盐桥中离子运动的方向
问题3(3分)
如下所示是两种胺。确定哪种结构含有二级碳,并且该结构含有三碳。证明你的答案。
从图像源于大师有机化学
问题4(2分)
计算氢氧化物离子的浓度(哦-)在pH1.5。展示你的工作。
问题5(2分)
Calculate the concentration of hydrogen ions (H+)在pH 2.7时。展示你的工作。
Question 6 (3 marks)
如果需要10.25ml的氢氧化钠(NaOH)的0.8米标准化的氢氧化钠溶液以中和9.00ml硫酸(H.2所以4.),计算硫酸溶液的浓度(以mol / l)。展示你的工作。
Question 7 (4 marks)
O.n the axes below, sketch the titration curve when 0.2 M hydrochloric acid (HCL) is titrated with 0.2 M sodium hydroxide (NaOH) and label the:
(一种)酸的初始pH
(b)等价点
(c)半等价点
(d)缓冲区
从图像源于QCAA化学公共使用练习纸
Question 8 (2 marks)
在下列反应中计算氢的百分比产率(质量):
Mg(S)+ H 2 SO 4(AQ)→H 2(G)+ MgSO 4(AQ)
Question 9 (2 marks)
如果K.C大于10-3在均衡有明显更多的反应物或产品物种吗?参考k解释您的答案Cformula.
Question 10 (3 marks)
Explain how soap is able to remove grease. Refer to intermolecular forces in your answer.
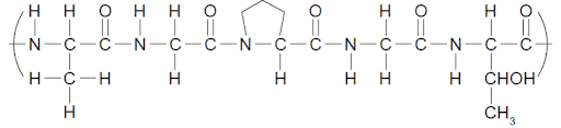
问题11(2分)
Determine the name of the polypeptide chain below (using the amino acid abbreviations).
问题12(2分)
解释酸和电导率强度之间的关系。
问题13(1标记)
什么类型的电化学电池使用外部来源的能量?
Question 14 (4 marks)
区分电流和电化学电池。
问题15(2分)
What is the definition of a strong acid in terms of its K一种还给出强酸的一个例子。
问题16(2分)
What is the definition of a strong base in terms of its KB.还Give an example of a strong base.
问题17(3分)
区分强酸/碱和弱酸/碱。
Question 18 (2 marks)
定义电池电位并提供与之相关的公式。
Question 19 (2 marks)
解释pH和氢离子浓度之间的关系[H.+].
Question 20 (4 marks)
碳酸钠(Na2CO.3.的)is a relatively strong base with a pH of approximately 11-12. Hydrochloric acid (HCL.的)是一种强酸一种pH of approximately 1-2. The neutralisation reaction of hydrochloric acid and sodium carbonate occurs according to equation (1):
Na2CO.3.(aq)+2HCL.(aq)→2nacl.(aq)+H2O.(l)+CO.2(g)
However, as the carbonate ion in sodium carbonate can accept twoH+在酸碱反应中,反应发生在两个连续的步骤中。下面给出第一步。
Na2CO.3.(aq)+HCL.(aq)→Nahco.3.(aq)+NaCl(aq)
(a)确定第二步将是什么。
(b)在等效点的数量方面推断出这意味着什么。
问题21(3分)
在随机和系统误差之间区分,并且给出在滴定反应期间可能发生的示例。
问题22(2分)
应用IUPAC规则以命名以下结构:
(一种)
来自牛津化学单位3&4的图像
(b)
来自牛津化学单位3&4的图像
问题23(4分)
对于以下每种反应,确定发生了什么样的有机反应(特定)。
(一种)
来自牛津化学单位3&4的图像
(b)
来自牛津化学单位3&4的图像
(C)
来自牛津化学单位3&4的图像
(d)
来自牛津化学单位3&4的图像
问题24(4分)
解释葡萄糖单体如何结合形成支链糖原聚合物。
Question 25 (4 marks)
从低于质谱中鉴定有机化合物。
化学的解决方案练习问题
点击此处将解决方案下载到上面的25个练习问题!
Are you looking for some extra help with the QCE Unit 3 & 4 Chemistry External Assessment?
我们有一个令人难以置信的QCE化学辅导器和导师!
我们可以帮助您掌握QCE化学教学大纲和即将到来的化学评估,在您家或在线上一对一进行的个性化课程!
我们已经支持了过去11年的8,000名学生,平均我们的学生得分超过20%的分数!
要了解更多,并开始启动QCE导师和导师,get in touch today或者给我们一个戒指1300 267 888!
yalindi binduhewa.是一家位于昆beplay体育官方士兰州的智能导师的艺术,是第一个通过ATAR系统的第一个队列的一部分,所以她完全了解它有多有趣和愉快。她目前正在研究Qut的医学成像(荣誉),并充满爱心。当她没有做出Uni相关的东西或辅导时,她和她的朋友一起出去玩,为第100次重写一个节目,或者尝试新的狡猾的项目,发现她没有人才。











