
在QCE化学外部评估(EA)中遇到多项选择题很难?不再挣扎,因为我们有一个银行的25个问题,以帮助你准备你的期末化学考试!gydF4y2Ba
一旦你尝试了所有25个化学EA多选题练习问题,你可以继续并下载解决方案,看看你是如何做到的。gydF4y2Ba
你还在等什么?让我们开始学习吧!gydF4y2Ba
化学EA多项选择练习题gydF4y2Ba
问题1gydF4y2Ba
叔碳原子是gydF4y2Ba
(一)gydF4y2Ba连着另一个碳gydF4y2Ba
(b)gydF4y2Ba和另外两个碳结合gydF4y2Ba
(c)gydF4y2Ba与另外3个碳原子结合gydF4y2Ba
(d)gydF4y2Ba不与其他碳原子结合gydF4y2Ba
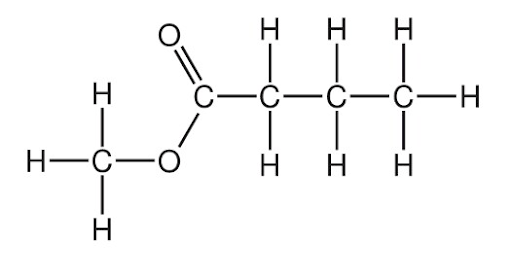
问题2gydF4y2Ba
使用IUPAC约定来命名以下结构。gydF4y2Ba
图片来自gydF4y2Ba化学解决方案gydF4y2Ba
(一)gydF4y2Ba甲基pentanoategydF4y2Ba
(b)gydF4y2Ba丁酸gydF4y2Ba
(c)gydF4y2Ba丙butanoategydF4y2Ba
(d)gydF4y2Ba甲基butanoategydF4y2Ba
问题3gydF4y2Ba
从下面的例子中推断出什么类型的反应。gydF4y2Ba
图片来自牛津化学昆士兰3单元和4单元gydF4y2Ba
(一)gydF4y2Ba替换gydF4y2Ba
(b)gydF4y2Ba减少gydF4y2Ba
(c)gydF4y2Ba酯化gydF4y2Ba
(d)gydF4y2Ba消除gydF4y2Ba
问题4gydF4y2Ba
确定下列氧化还原反应中的还原剂。gydF4y2Ba
锌(s) + CuSOgydF4y2Ba4gydF4y2Ba(aq)→ZnSOgydF4y2Ba4gydF4y2Ba(aq) +铜(s)gydF4y2Ba
(一)gydF4y2BaCuSOgydF4y2Ba4gydF4y2Ba(aq)gydF4y2Ba
(b)gydF4y2Ba铜(s)gydF4y2Ba
(c)gydF4y2Ba锌(s)gydF4y2Ba
(d)gydF4y2BaZnSOgydF4y2Ba4gydF4y2Ba(aq)gydF4y2Ba
问题5gydF4y2Ba
推导出氯在HClO中的氧化态gydF4y2Ba3.gydF4y2Ba.gydF4y2Ba
(一)gydF4y2Ba+5gydF4y2Ba
(b)gydF4y2Ba+4gydF4y2Ba
(c)gydF4y2Ba-5gydF4y2Ba
(d)gydF4y2Ba-4gydF4y2Ba
问题6gydF4y2Ba
根据公式和数据手册中的反应性系列,确定下列金属从反应性最强到反应性最差的正确顺序。gydF4y2Ba
(一)gydF4y2Ba倪、李、铁gydF4y2Ba
(b)gydF4y2BaBi、铜、CagydF4y2Ba
(c)gydF4y2Ba铝、锰、有限公司gydF4y2Ba
(d)gydF4y2Ba非盟、银、镍gydF4y2Ba
问题7gydF4y2Ba
确定下列哪个是下列结构的异构体。gydF4y2Ba
图片来自牛津化学昆士兰3单元和4单元gydF4y2Ba
(一)gydF4y2Ba丙烷gydF4y2Ba
(b)gydF4y2Ba2-methylpropanegydF4y2Ba
(c)gydF4y2Ba丁烷gydF4y2Ba
(d)gydF4y2Ba2-methylbutanegydF4y2Ba
问题8gydF4y2Ba
预测在时间= 18min时增加体积对下面反应的影响。gydF4y2Ba
图片来自gydF4y2Ba动态的科学gydF4y2Ba
(一)gydF4y2Ba体系会通过向生成物侧移动以降低反应物浓度来部分抵制这种变化,从而产生净正向反应gydF4y2Ba
(b)gydF4y2Ba体系会通过向反应物侧移动以降低反应物浓度来部分对抗这种变化,从而产生正向净反应gydF4y2Ba
(c)gydF4y2Ba体系会向生成物侧移动,以降低反应物浓度,从而部分对抗这种变化,产生净反作用gydF4y2Ba
(d)gydF4y2Ba体系会通过向反应物侧移动以降低产物浓度来部分对抗这种变化,从而产生净逆反应gydF4y2Ba
问题9gydF4y2Ba
确定EgydF4y2Ba°gydF4y2BaMg2+/Mg和Cu2+/Cu原电池。gydF4y2Ba
(一)gydF4y2Ba2.71 vgydF4y2Ba
(b)gydF4y2Ba2.22 vgydF4y2Ba
(c)gydF4y2Ba2.4 vgydF4y2Ba
(d)gydF4y2Ba2.7 vgydF4y2Ba
问题10gydF4y2Ba
预测在时间= 5分钟时加入催化剂对下面反应的影响。gydF4y2Ba
图片来自gydF4y2Ba动态的科学gydF4y2Ba
(一)gydF4y2Ba体系会通过向生成物侧移动以降低反应物浓度来部分抵制这种变化,从而产生净正向反应gydF4y2Ba
(b)gydF4y2Ba对平衡没有影响gydF4y2Ba
(c)gydF4y2Ba体系会向生成物侧移动,以降低反应物浓度,从而部分对抗这种变化,产生净反作用gydF4y2Ba
(d)gydF4y2Ba正反两种反应的速度都是一样的gydF4y2Ba
问题11gydF4y2Ba
下图显示了强酸和强碱之间的滴定。H的初始浓度是多少gydF4y2Ba+gydF4y2Ba酸中的离子?gydF4y2Ba
图片来自gydF4y2BaChem.ubc.cagydF4y2Ba
(一)gydF4y2Ba0.1gydF4y2Ba
(b)gydF4y2Ba0.01gydF4y2Ba
(c)gydF4y2Ba0.001gydF4y2Ba
(d)gydF4y2Ba1gydF4y2Ba
问题12gydF4y2Ba
下面哪个选项正确地说明了伯醇的氧化作用?gydF4y2Ba
(一)gydF4y2Ba酒精→酮gydF4y2Ba
(b)gydF4y2Ba醇→醛→羧酸gydF4y2Ba
(c)gydF4y2Ba醇→羧酸gydF4y2Ba
(d)gydF4y2Ba醇→酮→羧酸gydF4y2Ba
问题13gydF4y2Ba
下列哪种pH指示剂最适合用于检测以下滴定曲线的终点?gydF4y2Ba
图片来自gydF4y2BaChem.ubc.cagydF4y2Ba
(一)gydF4y2Ba酚酞gydF4y2Ba
(b)gydF4y2Ba酚红gydF4y2Ba
(c)gydF4y2Ba甲基红gydF4y2Ba
(d)gydF4y2Ba溴麝香草酚蓝gydF4y2Ba
问题14gydF4y2Ba
一种原电池电化学电池gydF4y2Ba
(一)gydF4y2Ba是发酵gydF4y2Ba
(b)gydF4y2Ba需要和外部能源gydF4y2Ba
(c)gydF4y2Ba把化学能转换成电能gydF4y2Ba
(d)gydF4y2Ba阳极为正极,阴极为负极gydF4y2Ba
问题15gydF4y2Ba
推论下列哪个是二戊酸。gydF4y2Ba
(一)gydF4y2BaHgydF4y2Ba2gydF4y2Ba所以gydF4y2Ba4gydF4y2Ba
(b)gydF4y2BaHNOgydF4y2Ba3.gydF4y2Ba
(c)gydF4y2BaCHgydF4y2Ba3.gydF4y2Ba羧基gydF4y2Ba
(d)gydF4y2Ba盐酸gydF4y2Ba
问题16gydF4y2Ba
确定关于等当点和终点的正确表述。gydF4y2Ba
(一)gydF4y2Ba等当点出现在终点之后gydF4y2Ba
(b)gydF4y2BapH值指示剂在等当点改变颜色gydF4y2Ba
(c)gydF4y2Ba滴定剂和分析物的摩尔数在等当点是相等的gydF4y2Ba
(d)gydF4y2BapH值指示剂在半等当点改变颜色gydF4y2Ba
问题17gydF4y2Ba
在平衡状态下,1.00 L的容器中含有0.04 mol的HgydF4y2Ba2gydF4y2Ba, 0.06 mol IgydF4y2Ba2gydF4y2Ba, 0.35 mol HI。系统由下式表示。求平衡常数(K)至小数点后两位gydF4y2BacgydF4y2Ba)来应对这种反应。gydF4y2Ba
HgydF4y2Ba2gydF4y2Ba(gydF4y2BaggydF4y2Ba) +我gydF4y2Ba2gydF4y2Ba(gydF4y2BaggydF4y2Ba)gydF4y2Ba⇌gydF4y2Ba2你好(gydF4y2BaggydF4y2Ba)gydF4y2Ba
(一)gydF4y2BaKgydF4y2BacgydF4y2Ba= 50.04gydF4y2Ba
(b)gydF4y2BaKgydF4y2BacgydF4y2Ba= 40.05gydF4y2Ba
(c)gydF4y2BaKgydF4y2BacgydF4y2Ba= 40.04gydF4y2Ba
(d)gydF4y2BaKgydF4y2BacgydF4y2Ba= 51.04gydF4y2Ba
问题18gydF4y2Ba
在下面的图中,确定系统平衡被扰动的次数。gydF4y2Ba
图片来自gydF4y2Ba动态的科学gydF4y2Ba
(一)gydF4y2Ba2gydF4y2Ba
(b)gydF4y2Ba3.gydF4y2Ba
(c)gydF4y2Ba4gydF4y2Ba
(d)gydF4y2Ba它没有被打扰过gydF4y2Ba
问题19gydF4y2Ba
下列哪一种有机化合物含有羟基官能团?gydF4y2Ba
(一)gydF4y2Ba酒精gydF4y2Ba
(b)gydF4y2Ba酰胺gydF4y2Ba
(c)gydF4y2Ba腈gydF4y2Ba
(d)gydF4y2Ba醛gydF4y2Ba
问题20gydF4y2Ba
H中硫的氧化值是多少gydF4y2Ba2gydF4y2Ba所以gydF4y2Ba4gydF4y2Ba?gydF4y2Ba
(一)gydF4y2Ba-6gydF4y2Ba
(b)gydF4y2Ba+3gydF4y2Ba
(c)gydF4y2Ba-3gydF4y2Ba
(d)gydF4y2Ba+6gydF4y2Ba
问题21gydF4y2Ba
蛋白质分子的最终形状被称为itsgydF4y2Ba
(一)gydF4y2Ba一级结构gydF4y2Ba
(b)gydF4y2Ba二级结构gydF4y2Ba
(c)gydF4y2Ba三级结构gydF4y2Ba
(d)gydF4y2Ba最终的结构gydF4y2Ba
问题22gydF4y2Ba
确定下列反应的平衡常数。gydF4y2Ba
2 clfgydF4y2Ba3.gydF4y2Ba(g)gydF4y2Ba⇄gydF4y2Ba3 FgydF4y2Ba2gydF4y2Ba(g) + ClgydF4y2Ba2gydF4y2Ba(g)gydF4y2Ba
问题23gydF4y2Ba
缩合反应是gydF4y2Ba
(一)gydF4y2Ba碳氢化合物的双键、三键和第二分子的共价键中键断裂gydF4y2Ba
(b)gydF4y2Ba饱和碳链上的一个取代基被另一个取代基取代gydF4y2Ba
(c)gydF4y2Ba取代基从卤代烷烃中两个相邻的碳原子上除去,形成多键gydF4y2Ba
(d)gydF4y2Ba两个分子结合形成一个大分子和HgydF4y2Ba2gydF4y2BaOgydF4y2Ba
问题22gydF4y2Ba
计算氢的原子经济性gydF4y2Ba2gydF4y2BaO在接下来的反应中是理想的产物。gydF4y2Ba
CHgydF4y2Ba4gydF4y2Ba(g) + 2 ogydF4y2Ba2gydF4y2Ba(g)gydF4y2Ba→gydF4y2Ba2 hgydF4y2Ba2gydF4y2BaO (g) +有限公司gydF4y2Ba2gydF4y2Ba(g)gydF4y2Ba
(一)gydF4y2Ba40%gydF4y2Ba
(b)gydF4y2Ba4%gydF4y2Ba
(c)gydF4y2Ba45%gydF4y2Ba
(d)gydF4y2Ba50%gydF4y2Ba
问题25gydF4y2Ba
确定下列分子间力由强到弱的顺序。gydF4y2Ba
(一)gydF4y2Ba氢键,偶极-偶极相互作用,色散力gydF4y2Ba
(b)gydF4y2Ba偶极-偶极相互作用,色散力,氢键gydF4y2Ba
(c)gydF4y2Ba氢键,色散力,偶极-偶极相互作用gydF4y2Ba
(d)gydF4y2Ba以上都不是gydF4y2Ba
化学EA多项选择题的解决方案gydF4y2Ba
点击这里下载以上25道练习题的答案!gydF4y2Ba
其他QCE化学资源gydF4y2Ba
如果你一直在寻找其他资源来帮助你学习QCE化学,你应该看看我们下面的练习问题:gydF4y2Ba
您在QCE第三单元和第四单元化学外部评估方面需要额外的帮助吗?gydF4y2Ba
我们有一个令人难以置信的团队的QCE化学导师和导师!gydF4y2Ba
我们可以帮助您掌握QCE化学教学大纲,并通过在家或在线进行一对一的个性化课程,在即将到来的化学评估中取得优异成绩!gydF4y2Ba
我们支持gydF4y2Ba在过去的11年里有8000名学生gydF4y2Ba平均来说,我们的学生成绩提高了20%以上!gydF4y2Ba
想要了解更多,并从鼓舞人心的QCE导师和导师开始,gydF4y2Ba今天就联系gydF4y2Ba或者给我们打电话gydF4y2Ba1300 267 888 !gydF4y2Ba
Yalindi BinduhewagydF4y2Ba她是昆士兰的beplay体育官方一名Art of Smart导师,是第一批学习ATAR系统的学生,所以她非常清楚这个系统的乐趣和享受。她目前正在昆士兰大学学习医学影像学士学位(荣誉),并热爱它。当她不做与学校相关的事情或辅导的时候,她会和朋友出去玩,把一个节目看100遍,或者尝试一些新的精巧的项目,然后发现自己并不是什么都有天赋。gydF4y2Ba









