
Beginning to study Unit 3 in QCE Physics but aren’t too sure about what kind of content you’ll be covering? We’ve got you!
We want to make studying for this unit much easier for you, so we’ve broken down what each of the topics you’ll study involve and the different concepts you’ll be learning.
Ready to find out what’s covered in QCE Physics Unit 3? Check it out!
什么是qce物理的单位3?
Topic 1: Motion
主题2:电磁
什么是qce物理的单位3?
在我们开始之前,重要的是要理解单位3位于您的物理知识的整体知识。12级物理以这样的方式设计在第3单元期间教导所谓的“古典物理”。
Classical physics is what makes up our基线理解物理世界和is more than enough to explain the large majority of what we observe on a daily basis.
It should be noted that while this guide gives an overview of all the Unit 3 topics,you should take your own time to investigate each of these topics in-depthas there are many scenarios that you will encounter in Grade 12 physics that we won’t be able to cover here.
Topic 1: Motion
Before we get into the meat of the topic,we first need to explain what a vector is and how it works.If you have done Specialist Maths in Grade 11 you will already know this but it’s nice to recap it anyway. Below is an image of a vector:

从图像源于Math Insight
You can see from this thatthe vector is travelling both horizontally and vertically。没有太多的衍生,你会学习它the horizontal and vertical components respectively can be calculated as follows.
vx= ACOS(θ)
vy= asin(θ)
WhereA is the magnitude of the vector and theta is the angle between the x axis and the vector.我们可以应用这些方程来分析根据这些向量移动的物体的运动!
弹丸运动
在最基本的,弹丸运动是一个描述各种情况的捕获术语。让我们从最基本的最基本中分解这些情况。
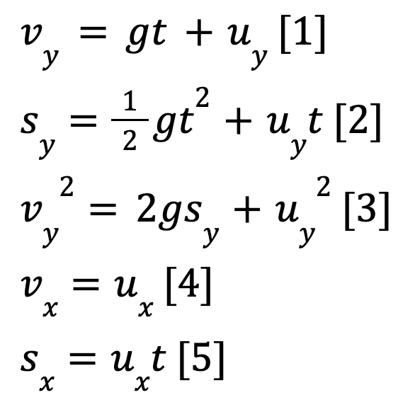
这公式我们将需要弹丸运动are as follows:
Wherevis the final velocity,u是初始速度,sis the displacement和tis the time since the beginning of the projectile motion.
弹丸运动Case 1: Horizontal Projection from a Height
Let’s consider a situation where you have a ball on the top of a cliff that is some height H.
If you were to give the ball a push horizontally what shape would the path of the ball make as it falls?First, let’s assume that there is no air resistance or drag forces to make this easier for us.
这first step to solving this is to consider the forces.With our assumption we can rule out any forces in thexdirection, meaning that the initial horizontal velocity remains constant throughout the object’s motion.
在垂直方向上,唯一的力是由于重力,使球恒定加速度向下。考虑到这些力量,我们现在可以确定球将在抛物线路上行进如下所示。

从图像源于Tutor4Physics
From the 5 formulas we defined earlier,any parameter of this situation can be calculated。重要的是要注意due to the specifics of the situationuy= 0,因为球仅给出初始水平推动。
弹丸运动Case 2: Projection at an Angle
这种情况与第一个相同 - 但是仅在水平推出时,球以一定角度发射to the horizontal.

从图像源于物理忍者
All the same equations apply here, the only difference is calculatingux,vx,uy和vy。使用我们之前提到的矢量组件方程,我们可以确定:

你可能需要的有用事实an angle of45°将提供最大的水平位移。类似地,互补角将提供相同的水平位移i.esx(30°) =sx(60°)
均匀的圆形运动
Have you ever spun a yo-yo above your head using its string? If so, then you have witnessedcircular motion in action.
现在想象一下以相同的方式以完全相同的速度旋转相同的yo-yo。这是均匀的圆形运动。
这velocity of this spinning object can be described asv = distance/time在我们知道距离是圆圈的距离,又名distance = 2πr.
这time taken to complete a full revolution is the period and is represented byT。考虑到这些速度可以表示为v=(2πr)/T.
We should note at this point thatthe velocity vector is at all points tangent to the circular path that the object follows.这obvious question that follows from this then is what keeps the object moving in a circle rather than flying away?
这是answered through a concept known as centripetal acceleration represented byac。此加速度可以如下计算ac= V.2/r.
这个加速度向量指向中心of the circle at all points. This combined withNewton’s second lawallow for the calculation of the centripetal force, which isF = ma= (mv2/ r。
Gravity and Kepler’s Laws
One of the most important discoveries in physics is牛顿的引力吸引人的描述。它如下:

Wherer is the distance between the two bodies, M and m represent the masses of the two bodies and G is the gravitational constant(在式表上给出)。使用牛顿的第二法与这种表达式结合使用,我们可以从物体中确定任何距离的重力加速度。它如下:

Another physicist known asJohannes Kepler expanded on Newton’s theories by using them to describe the orbits of planetary bodies.He came up with three main laws to describe these orbits.
这first law follows that planetary orbits are elliptical around the sun as the focal point.This went against the scientific consensus at the time that orbits were circular.
这second law follows that an orbiting planet will sweep out equal areas in equal periods of time— this one can be quite hard to understand before seeing a picture. See the below image which shows areas A1 and A2 being swept out over the same length of time. According to the second law, these areas are equal.

从图像源于Brittanica
这third and final law states that the ratio between the square of the period and the cube of the semi-major axis is equal for all orbits.当在等式形式中看到的音符时,这也很难理解。本法的数学描述如下:

主题2:电磁
Electromagnetic Forces and Electric Field
So far, we have mainly focussed on macroscopic situations, however, there is a whole other realm of microscopic situations which our current equations cannot describe. For this,我们需要看看电磁场的方程,从电场开始。
电磁学的基础来自库仑的法律,这使得两个带电粒子之间的力与两个电荷的产品成比例和它们之间的距离的逆平方。In equation form, this is:

This equation explains为什么相同电荷彼此堆叠的颗粒互相吸引相反的电荷。
But why do particles experience this force? We know thatfor massive objects they experience gravitational forces due to a gravitational field that acts across a distance.From this we can speculate that something known as an electric field exists for charged particles which allows for this force to be exerted across a distance. This field can be calculated as follows:

Potential Difference
这potential difference, commonly referred to asvoltageis defined as电路中的两个点或电场中的两个点之间的差异差异。在数学上,它被定义为:

这Magnetic Field
Similar to electric forces having an electric field which allows for forces at a distance,磁力通过磁场的介质作用。与电场不同,磁场仅由移动电荷产生。
这re are a few different situations where the magnetic field applies in Grade 12 Physics. They are as follows:
围绕当前的携带电线
其中B是磁场,我是流过电线的电流,R是电线的半径和米0is the magnetic constant given by the formula sheet. The direction of this magnetic field is given by the right hand rule which can be seen below.
从图像源于Pasco
In a solenoid
Where n is the ratio of the number of turns in the solenoid to the length of the solenoid.
磁力
Similar to the magnetic field, there are only a few situations in Grade 12 Physics where you need to be able to calculate a magnetic force, they are as follows:
For a current carrying wire in a magnetic field
f = bilsin(θ)
Where L is the length of the wire and theta is the angle between the magnetic field and the wire.
Magnetic force on a moving charge
F = qvBsinθ
Where q is the magnitude of the charge and v is the velocity of the charge. The direction of the magnetic force is dictated by the right hand rule which can be seen below:
从图像源于Labman.
Magnetic Flux
Magnetic flux can be described asthe amount of magnetic field strength that is passing through a specific area.It is defined using the greek symbol phi and mathematically can be expressed as:
φ =BAcos(θ)
Electromagnetic Induction
思考我们的初步定义magnetic field, we said that it exists due to a moving charge, also known as a current.
Taking this idea we could theorise that移动磁场会产生电流,this is correct and this theory has been measured empirically and we call this electromagnetic induction.
电动力量
Following on from the ideas of electromagnetic induction,如果当前创建的一个移动的磁铁ic field, some work is done to move electrons- 因此,这项工作产生了电位差或电压。
We call this potential difference created by the magnetic field theelectromotive force (emf for short)。It is important to note that this isn’t really a physical force and the name is purely historical.
Mathematically, the emf can be described in terms of the changing magnetic flux through an area as follows:

Where n is the number of turns, phi is the magnetic flux and delta (Δ) t is the amount of time passed in seconds.
变形金刚
An example of electromagnetic induction that is important to understand is the idea of a transformer. At its most basic,a transformer is a device that transfers electrical energy from one circuit to another。
它由此做到这一点将其初始电能转化为磁通量,然后在新电路中转换回电能。这two circuits contain a different number of loops and therefore the voltage is also changed. The relationship between these are as follows:

WhereI represents current, V represents voltage and n represents the number of turns。这subscripts p and s represent primary and secondary, respectively, and are a way of representing either the primary or secondary coil of the transformer.
A transformer where the voltage decreases from the primary to secondary coil is known as a step-down transformer while a transformer where there is an increase in voltage is known as step-up.
这re you have it!
That’s everything you need to know for QCE Physics Unit 3 summed up in an article. All the best with tackling your Unit 3 assessments!
We’ve got many practice questions for you to use to revise content throughout the year! Check them out:
- Unit 3 Physics Data Test IA1 Practice Questions
- 单位3和4物理外部评估的练习问题
- 单位3和4物理外部评估的多项选择练习问题
- QCE Physics Practice Exam
You’ll also want to have a look at our nifty guides for working on your QCE Physics assessments below:
- 这9-Step Guide to Conducting a Student Experiment for QCE Physics
- 7您可以遵循的简单步骤为QCE物理完成研究调查
- 如何对QCE物理进行外部评估
您是否正在寻找修改QCE物理单元3的一些额外帮助?
We have an incredible team of QCE Physics tutors and mentors!
We can help you master the QCE Physics syllabus and ace your upcoming Physics assessments with personalised lessons conducted one-on-one in your home or online!
We’ve supported over8,000 students over the last 11 years, and on average our students score mark improvements of over 20%!
To find out more and get started with an inspirational QCE tutor and mentor,立即取得联系或者给我们一个戒指1300 267 888!
威廉再见是智能艺术的内容作家,目前正在研究昆士兰大学的beplay体育官方高级科学学士学位(物理学专业)。他是昆士兰州的第一个队列的一部分,通过ATAR系统,并希望帮助其他学生尽可能简单地使这一旅途变得简单。将享受他的时间在与他的朋友们乐队中弹吉他,希望继续平衡他的科学和音乐多年来来。





