
Getting ready to take your Unit 3 Maths Methods IA2 Short Answer test? We’ve got a bunch of questions you can use to prepare!
To help you out, we’ve created 25 practice questions, along with the answers which you can download to figure out what you’ve gotten right or wrong.
Let’s get started on the Unit 3 Maths Methods short answer questions!
Non-Calculator Questions
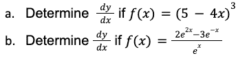
Question 1 (2 marks)
Question 2 (2 marks)
a.Iff(x)=x cos(3x), determinef‘x
b.Using your answer forf‘x,determinef”x
Question 3 (2 marks)
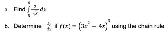
Question 4 (2 marks)
Question 5 (2 marks)
Differentiate the following:
a. y = 7loge(4x)
b. y = 5ln(-2x)
Question 6 (4 marks)
The graph of the functionf(x)=0.3loge(x – 2)is shown below.
a. Determine the value ofagiven that it is the x-intercept
b。状态函数的领域和范围
c. Determine the gradient of the curve at (a,0)
d. Determine the equation of the tangent at (a,0)
Question 7 (3 marks)
Solve4sinsin(2x)– 2 = 0, 0 ≤ x ≤2 π
Question 8 (4 marks)
a. Calculate the depth of the water at low tide and when it will next occur
b. Determine the rate of change of the depth of water with respect to time at 3:00 pm
Question 9 (2 marks)
Differentiate the following:
a.log32 + 2log3x =log3(7x – 3)
b.3lnx =ln125
Question 10 (3 marks)
A deposit of $5000 is invested at Bank A, and a deposit of $7000 is invested at bank B. Bank A offers compound interest continuously at a rate of 6% per annum, whereas Bank B offers compound interest continuously at a rate of 5% per annum. In how many years will the two investments be the same?
Give your answer to the nearest appropriate year. Use the compound interest equation below:
A = Pert
where:
A= accumulated dollars
P= initial deposit
r = rate
t = years
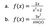
Question 11 (2 marks)
Derive the following functions:
Question 12 (3 marks)
Given thatf(x) =x(5 – 4x)2, evaluatef'(x)and determine the equation of the tangent to the curve at point (1,1)
Question 13 (4 marks)
The formula below represents the profit (P), in dollars, that a business makes by selling its products each day.
a. Calculate the number of items that should be sold to maximise the profit on each item.
b. Calculate the profit per item by selling this number of items
c. Calculate the total profit per day made by selling this number of items
Question 14 (4 marks)
The displacement of a particle, inxmetres, from a fixed origin attseconds can be modelled by the following function:
a. Calculate the initial position of the particle
b.Determine the velocity function for the particle and calculate its initial velocity
c. Calculate the time and position at which the particle is at rest
Calculator Questions
Question 15 (2 marks)
Solve the following. Give your answer to two decimal places.
Question 16 (1 mark)
The area of the region enclosed by the graphs ofy = x(x2– 3)andy =e-xto two decimal places is…
Question 17 (1 mark)
The graph ofy = e(x3– 4x)is concave up for whichxvalues?
Question 18 (4 marks)
The temperature (T) in Brisbane in°Con a particular day can be modelled by the following function:
T = -3coscos(0.5t)+ 20, 0 ≤ x ≤ 24
wheretis the number of hours after 12am (start of that day)
a. Calculate the temperature at 6am. Give your answer to the nearest degree.
b. Calculate the rate of change at any time
c. What is the rate of change of temperature at noon? Give you answer correct to two decimal places.
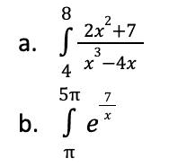
Question 19 (2 marks)
Determinef(x)of the following:
Question 20 (3 marks)
The population of tadpoles in a pond changes at a rate modelled by the following function:
where:
- N is the number of tadpoles in the pond
- t is the number of days after the first frogs arrived at the pond
a. Determine the rule for the population of tadpoles at a given time if initially there were 0 tadpoles
b. What is the tadpole population after 4 days? Round answer to nearest whole number
Question 21 (5 marks)
a. Domain and Range
b. Any x-intercepts and y-intercepts
c. Horizontal and vertical asymptotes
d. Local maximum and/or minimum
e. Intervals for which the function is increasing and decreasing
Question 22 (3 marks)
Calculate the values ofxfor which the following functions have the same gradient
Question 23 (3 marks)
The velocity of a particle (ms-1) is given by the following function:
a. Calculate the velocity of the particle after 3 seconds (correct to two decimal places)
b. Calculate the acceleration of the particle after 4 seconds (correct to two decimal places)
Question 24 (5 marks)
The number of magpies, K, in a forest on a particular day can be modelled by the following equation:
wheretis the number of weeks after the start of the spring season (September). Find:
a. The number of magpies at the start of September
b. The number of magpies at the start of November (round to nearest whole number)
c. The rate of change at any time
d. The rate of change whent= 6 (round to two decimal places)
Question 25 (5 marks)
Consider the functionf(x)= (-4 +e-x).
a. Determine the coordinates of the x-intercepts and y-intercepts
b. Sketch and label the function with all important features
c. State the transformations required to mapf(x)=exontof(x) = (-4 +e-x)
QCE Unit 3 Maths Methods Short Answer Practice Solutions
Click here to download the solutions to the 25 practice questions above!
On the hunt for other QCE Maths Methods resources?
We’ve created a bunch of helpful articles and practice questions for studying QCE Maths Methods. Check them out!
- Unit 4 IA3 Short Answer Practice Questions
- Download QCE Maths Methods Practice Exam for External Assessment Revision
- How to Structure Your PSMT Report for QCE Mathematical Methods
- QCE Practice Questions for Unit 3 & 4 Maths Methods External Assessment
Are you looking for some extra help with the QCE Unit 3 Maths Methods Short Answer test?
We have an incredible team of QCE tutors and mentors!
We can help you master the Maths Methods syllabus and ace your upcoming Maths Methods assessments with personalised lessons conducted one-on-one in your home or online!
We’ve supported over8,000 students over the last 11 years, and on average our students score mark improvements of over 20%!
To find out more and get started with an inspirational QCE tutor and mentor,get in touch todayor give us a ring on1300 267 888!
Yalindi Binduhewais an Art of Smart tutor based in Queensland and was part of the very first cohort to go through the ATAR system, so she knows exactly how fun and enjoyable it can be. She is currently studying a Bachelor of Medical Imaging (Honours) at QUT and is loving it. When she’s not doing uni-related stuff or tutoring, she’s hanging out with her friends, rewatching a show for the 100th time, or trying out new crafty projects and discovering that she doesn’t have a talent for everything.















