
Looking for some HSC Chemistry Module 7: Organic Chemistry practice questions?
You’ve come to the right place!
试图研究模块7:有机化学n be difficult, especially when all the practice questions seem to be based on the previous HSC Chemistry syllabus!
Luckily for you, we’ve selected and created 25 HSC Chemistry Module 7: Organic Chemistry practice questions that cover each of the 25 learning dot points in the module.
The questions explore all types of reactions involving organic compounds in this module.
So, what are you waiting for? Dive into our HSC Chemistry Module 7 practice questions!
Nomenclature
Hydrocarbons
Alcohols
Reactions of Organic Acids and Bases
Polymers
Nomenclature
Question 1
Name the following organic compounds with the correct IUPAC nomenclature. (4 marks)
(L1.1: investigate the nomenclature of organic chemicals, up to C8, using IUPAC conventions, including simple methyl and ethyl branched chains, including: (ACSCH127)
– alkanes
– alkenes
– alkynes
– alcohols (primary, secondary and tertiary)
– aldehydes and ketones
– carboxylic acids
– amines and amides
– halogenated organic compounds)
Question 2
Explain the difference between chain, position and functional group isomers. Include examples for each type of isomer. (6 marks)
(L1.2 explore and distinguish the different types of structural isomers, including saturated and unsaturated hydrocarbons, including:
– chain isomers
– position isomers
– functional group isomers)
Hydrocarbons
Question 3
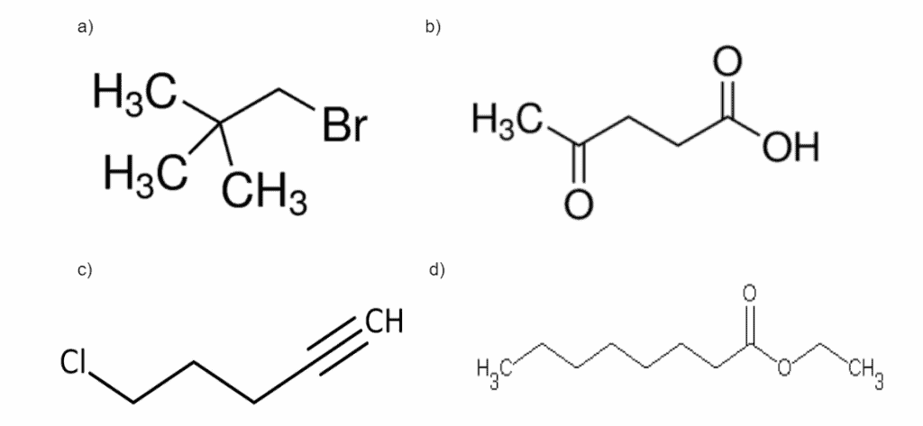
Write the molecular and structural formulas for the following organic compounds and label their functional groups: (3 marks)
- 2-bromo-2-methylbutane
- 1-iodo-3-methyl-2-butene
- 5-chloro-4-methyl-2-pentyne
(L2.1:construct models, identify the functional group, and write structural and molecular formulae for homologous series of organic chemical compounds, up to C8
– alkanes
– alkenes
– alkynes)
Question 4
“Shorter alcohols have higher boiling points”.Is this statement true? Explain your answer with reference to structure and intermolecular bonds. (3 marks)
(L2.2:conduct an investigation to compare the properties of organic chemical compounds within a homologous series, and explain these differences in terms of bonding)
Question 5
Draw and compare the shape of the organic compounds: Ethane, ethene and ethyne. (3 marks)
(L2.3: analyse the shape of molecules formed between carbon atoms when a single, double or triple bond is formed between them)
Question 6
Explain the trends in boiling points shown in the graph. (4 marks)
(L2.4:explain the properties within and between the homologous series of alkanes with reference to the intermolecular and intramolecularbonding present)
Question 7
Name one functional group that requires a safety procedure for disposal. Describe the procedure and why it is necessary. (2 marks)
(L2.5: describe the procedures required to safely handle and dispose of organic substances)
Question 8
Most hydrocarbons are extracted from the Earth are nonrenewable. Assess the impact of extracting and using hydrocarbons on the environment, economy and society. (7 marks)
(L2.6:examine the environmental, economic and sociocultural implications of obtaining and using hydrocarbons from the Earth)
Hydrocarbons
Question 9
Draw structural formulas for the following reactions and name their respective products. (3 marks)
- 3-Hexene and hydrogen gas
- 2-Butyne and excess bromide gas
- 4-octene and water
(L3.1:investigate, write equations and construct models to represent the reactions of unsaturated hydrocarbons when added to a range of chemicals, including but not limited to:
– hydrogen (H2)
– halogens (X2)
– hydrogen halides (HX)
– water (H2O))
Question 10
Draw structural formulas for the following reactions and name their respective products. (2 marks)
- Pentane and chloride gas
- Decane and hydrogen bromide
(L3.2: investigate, write equations and construct models to represent the reactions of saturated hydrocarbons when substituted with halogens)
Alcohols
Question 11
Rank primary, secondary and tertiary alcohols from lowest to highest boiling point. Explain your ranking system with reference to its structure. (3 marks)
(L4.1:investigate the structural formulae, properties and functional group including:
– primary
– secondary– tertiary alcohols
Question 12
Explain how the intramolecular bonding within alcohols contribute to its intermolecular bonding between alcohol molecules. (3 marks)
(L4.2: explain the properties within and between the homologous series of alcohols with reference to the intermolecular and intramolecular bonding present)
Question 13
A student performed a first-hand investigation to determine the quantitative relationship between heat of combustion and molar mass of alkanols. The student did this by burning different alkanols to heat water as shown in the diagram below. The calculated heats of combustion for four of the alkanols are given in the table.
a) On the grid below, graph both the calculated and the theoretical heat of combustion against the molar mass of the alkanols.
b) Discuss the validity of the student’s investigation.
(L4.3: conduct a practical investigation to measure and reliably compare the enthalpy of combustion for a range of alcohols)
Question 14
Write balanced chemical and structural equations for the reactions of the following substances. (4 marks)
- Magnesium and oxygen
- Dehydration of cellulose
- Pentane and hydrogen chloride
- Two step oxidation of butane
(L4.4: write equations, state conditions and predict products to represent the reactions of alcohols, including but not limited to (ACSCH128, ACSCH136):
– combustion
– dehydration
– substitution with HX
– oxidation)
Question 15
In class, you have performed an experiment to investigate the process of fermentation. Outline the procedure you have used with a balanced equation of the reaction. (4 marks)
(L4.5: investigate the production of alcohols, including:
——替代卤代有机co的反应mpounds
– fermentation)
Question 16
Draw and name the products following the oxidation of the listed alcohols (4 marks)
(L4.6: Investigate the products of the oxidation of primary and secondary alcohols)
Question 17
Assess the advantages and disadvantages between non-renewable fuels and ethanol. (6 marks)
(L4.7: compare and contrast fuels from organic sources to biofuels, including ethanol)
Reactions of Organic Acids and Bases
Question 18
Explain how the structural difference between amines and amides contribute to their different properties. Include examples with structural formulae. (3 marks)
(L5.1: investigate the structural formulae, properties and functional group including:
– primary, secondary and tertiary alcohols
– aldehydes and ketones (ACSCH127)
– amines and amides
– carboxylic acids)
Question 19
Rank amines, amides and carboxylic acid from lowest to highest boiling point. Account for this trend with reference to its respective intermolecular and intramolecular bonding. ( 5 marks)
(L5.2: explain the properties within and between the homologous series of carboxylic acids amines and amides with reference to the intermolecular and intramolecular bonding present)
Question 20
Describe the procedure you have used in a school laboratory to produce a named ester. Include the structural formula for the production of that named ester. (6 marks)
(L5.3: investigate the production, in a school laboratory, of simple esters)
Question 21
Which organic compounds are characterized as organic acids? Which organic compounds are characterized as organic bases? (3 marks)
(L5.4: investigate the differences between an organic acid and organic base)
Question 22
What is the structural difference between anionic and cationic detergents? Use their structure to account for their unique uses. (4 marks)
(L5.5: investigate the structure and action of soaps and detergents)
Question 23
Construct a flow chart that depicts the conversion of propane to ethyl propanoate. (3 marks)
(L5.6: Draft and construct flow charts to show reaction pathways for chemical synthesis, including those that involve more than one step)
Polymers
Question 24
With reference to their structural composition, account for the unique properties and uses of polyethylene (PE), polyvinyl chloride (PVC) and polytetrafluoroethylene (PTFE). (6 marks)
(L6.1: model and compare the structure, properties and uses of addition polymers of ethylene and related monomers, for example:
– polyethylene (PE)
– polyvinyl chloride (PVC)
– polystyrene (PS)
——polytetrafluoroethylene (PTFE))
Question 25
Compare the production of nylon and polyesters through structural diagrams. Account for how the structure of these polymers contribute to its properties and therefore, uses. (5 marks)
(L6.2: model and compare the structure, properties and uses of condensation polymers, for example:– nylon
– polyesters)
And that wraps up our 25 practice questions for HSC Chemistry Module 7: Organic Chemistry! Good luck!
Looking for some extra help with HSC Chemistry?
We pride ourselves on our inspirational HSC Chemsitry coaches and mentors!
We offer tutoring and mentoring for Years K-12 in a variety of subjects, with personalised lessons conducted one-on-one in your home or at our state of the art campus in Hornsby!
To find out more and get started with an inspirational tutor and mentorget in touch today!
Give us a ring on 1300 267 888, email us at[email protected]or check us out onFacebook!
Kate Lynn Lawgraduated in 2017 with an all rounders HSC award and an ATAR of 97.65. Passionate about mentoring, she enjoys working with high school students to improve their academic, work and life skills in preparation for the HSC and what comes next. An avid blogger, Kate had administrated a creative writing page for over 2000 people since 2013, writing to an international audience since her early teenage years.





