
很难找到好的练习题来帮助你准备QCE化学外部评估(EA)。为了学习好,你显然会想要练习问题并参考答案,这样你就知道在哪里可以提高了!
你很幸运,我们正好有。一旦你尝试了所有25个化学EA练习问题,你将能够下载解决方案。
想要开始学习?我们走吧!
化学EA练习题
第1题(1分)
解释在可逆反应中达到动态平衡状态是什么意思。
第二题(3分)
下图是一个电化学电池。在图上标注以下内容:
(一)正极(阴极)和负极(阳极)
(b)电子流动的方向
(c)盐桥中离子的运动方向
第三题(3分)
下面是两个胺。确定哪个结构包含一个仲碳,哪个结构包含一个叔碳。证明你的答案。
图片来自掌握有机化学
第4题(2分)
计算氢氧根离子(OH- - - - - -)。显示你的工作。
第5题(2分)
计算氢离子浓度(H+)。显示你的工作。
第6题(3分)
如果10.25毫升的0.8 M标准氢氧化钠溶液(NaOH)需要中和9.00毫升的硫酸(H2所以4),计算硫酸溶液的浓度(单位:mol/L)。显示你的工作。
第7题(4分)
在下面的坐标轴上,画出0.2 M盐酸(HCL)与0.2 M氢氧化钠(NaOH)滴定时的滴定曲线,并标注:
(一)初始pH值
(b)等当点
(c)半等当点
(d)缓冲地区
图片来自QCAA化学公共应用实践论文
第8题(2分)
计算下列反应中氢的产率(按质量计):
Mg(s) + H2SO4(aq)→H2(g) + MgSO4(aq)
第9题(2分)
如果Kc大于10-3在平衡态是否有更多的反应物或生成物?参考K来解释你的答案c公式。
第十题(3分)
解释肥皂是如何去除油脂的。答案中要提到分子间的作用力。
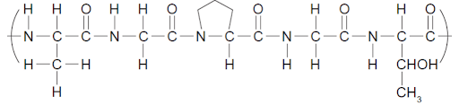
第11题(2分)
确定下面多肽链的名称(使用氨基酸缩写)。
第12题(2分)
解释酸的强度和电导率之间的关系。
第13题(1分)
什么样的电化学电池使用外部能源?
第14题(4分)
区分原电池和电化学电池。
第15题(2分)
用K来表示强酸的定义是什么一个?举一个强酸的例子。
第16题(2分)
用K来表示强碱的定义是什么b?举一个强碱的例子。
第17题(3分)
区分强酸/碱和弱酸/碱。
第18题(2分)
定义细胞电位并提供与之相关的公式。
第19题(2分)
解释pH值和氢离子浓度之间的关系[H+].
第20题(4分)
碳酸钠(Na2有限公司3.)是一种相对较强的碱,pH值约为11-12。盐酸(盐酸)是一种强酸,pH值约为1-2。盐酸与碳酸钠的中和反应按式(1)进行:
Na2有限公司3 (aq)+2盐酸(aq)→2氯化钠(aq)+H2O(左)+有限公司2 (g)
但是,由于碳酸钠中的碳酸根离子可以接受二H+离子在酸碱反应中,反应发生两个连续的步骤。第一步如下所示。
Na2有限公司3 (aq)+盐酸(aq)→NaHCO3 (aq)+生理盐水(aq)
(a)确定第二步是什么。
(b)根据等当点的数量推断出这意味着什么。
第21题(3分)
区分随机误差和系统误差,并举例说明在滴定反应中可能发生的每一种误差。
第22题(2分)
应用IUPAC规则命名以下结构:
(一)
图片来自牛津大学化学3和4单元
(b)
图片来自牛津大学化学3和4单元
第23题(4分)
对于下面的每一个反应,确定发生了哪种有机反应(具体)。
(一)
图片来自牛津大学化学3和4单元
(b)
图片来自牛津大学化学3和4单元
(c)
图片来自牛津大学化学3和4单元
(d)
图片来自牛津大学化学3和4单元
第24题(4分)
解释葡萄糖单体如何结合形成支链糖原聚合物。
第25题(4分)
从下面的质谱中鉴定有机化合物。
化学EA练习问题的解决方案
点击这里下载以上25道练习题的答案!
您在QCE第三单元和第四单元化学外部评估方面需要额外的帮助吗?
我们有一个令人难以置信的团队的QCE化学导师和导师!
我们可以帮助您掌握QCE化学教学大纲,并通过在家或在线进行一对一的个性化课程,在即将到来的化学评估中取得优异成绩!
我们支持在过去的11年里有8000名学生平均来说,我们的学生成绩提高了20%以上!
想要了解更多,并从鼓舞人心的QCE导师和导师开始,今天就联系或者给我们打电话1300 267 888 !
Yalindi Binduhewa她是昆士兰的beplay体育官方一名Art of Smart导师,是第一批学习ATAR系统的学生,所以她非常清楚这个系统的乐趣和享受。她目前正在昆士兰大学学习医学影像学士学位(荣誉),并热爱它。当她不做与学校相关的事情或辅导的时候,她会和朋友出去玩,把一个节目看100遍,或者尝试一些新的精巧的项目,然后发现自己并不是什么都有天赋。











