
Trying to do some additional revision for your QCE Maths Methods EA, but are struggling to come across practice questions?
We’ve got a bank of questions you can use right here! You’ll also be able to download the answers to them so you can check if you’ve gotten them correct.
Ready to get started on these practice questions? Let’s go!
Non-Calculator Questions
Question 1 (2 marks)
Question 2 (4 marks)
An object travels in a straight line. Its displacement from the origin isxm/s, at timetseconds is given by the following function:
x(t) = ln(x + 1) + x, 0 ≤ t ≤ 10
a. Determine an expression for the velocity of the particle as a function of time
b. Determine an expression for the acceleration of the particle as a function of time
c. Calculate the initial speed of the particle
d. Determine when and at what position the particle is at rest
Question 3 (2 marks)
Solve the following forx
Question 4 (2 marks)
Jack has a science test that consists of 35 multiple choice questions which have 5 answer options each. She chooses her answers all at random. Let X be the discrete random variable that describes the number of answers she gets correct.
a. Determine the expected number of questions Jack has gotten correct.
b. Determine the standard deviation of the number of questions answered correctly. Give your answer to two decimal places.
Question 5 (3 marks)
Z, a binomial random variable, has a mean of 5.7 and a variance of 1.3. Determine the probability of success (p). Give your answer to two decimal places.
Question 6 (2 marks)
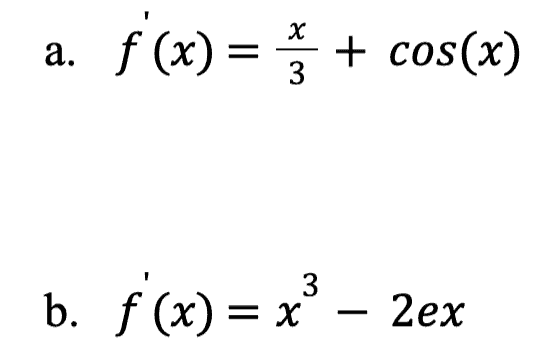
a. If f(x) = -lnln(x)+ 2x2determine f'(x)
b。使用你的答案f (x)从(a)部分,潜艇雷达rmine f”(x)
Question 7 (4 marks)
The graph of the functionf(x)=2log(2x)– 2is shown below.
a. Determine the value of a given that it is the x-intercept.
b. State the domain and range of the function.
c. Determine the gradient of the curve at (a,0). Give your answer to two decimal places.
d. Determine the equation of the tangent at (a,0). Give your answer to two decimal places.
Question 8 (4 marks)
The depth (d) of a water in 100m from the shore of a beach changes with the tide according to the following rule:
wheretis the time in hours after high tide and depth is measured in meters. If on a particular day, the high tide is at 7:00 pm:
a. By sketching the curve, calculate the depth of the water at low tide and when it will next occur
b. Determine the rate of change of the depth of water with respect to time at 10:00 pm
Question 9 (3 marks)
Given thatf(x)=3x(x + 5)2, evaluatef'(x)and determine the equation of the tangent to the curve at point (0,0)
Question 10 (4 marks)
The temperature (T) in Sydney in°Con a summer day can be modelled by the following function:
T= 5sinsin(t – 3)+ 25, 0 ≤ x ≤ 24
wheretis the number of hours after 12am (start of that day)
a. Calculate the temperature at 7am. Give your answer to the nearest degree.
b. Calculate the rate of change at any time
c. What is the rate of change of temperature at 6pm? Give your answer correct to two decimal places.
Question 11 (2 marks)
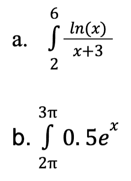
Determinef(x)of the following
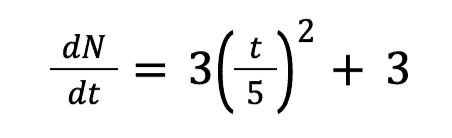
Question 12 (3 marks)
The population of rabbits in a field changes at a rate modelled by the following function:
where:
- N is the number of rabbits in the field
- t is the number of days after the first rabbits arrived at the field
a. Determine the rule for the population of tadpoles at a given time if initially there were 3 rabbits
b. What is the rabbit population after 6 days? Round answer to the appropriate whole number
Calculator Allowed Questions
Question 13 (2 marks)
Find the length of the side labelledx. Give your answer to two decimal places.
Image sourced from MathsMadeEasy
Question 14 (2 marks)
Find the length of the unknown side. Give your answer to two decimal places.
Image sourced from MATHGuide
Question 15 (3 marks)
Jason bought a weighted dice. After rolling the dice 50 times, he found that it landed on 6 40% of the time. Letting X be the dice landing on 6:
a. Construct a probability distribution table for X
b. Determine E(X)
c. Determine the variance and standard deviation of X, correct to four decimal places
Question 16 (5 marks)
Sketch the graph off(x)=2ex3+ 2x+ 3. Calculate and label the x and/or y-intercepts, stationary points and points of inflection. Give your answers to two decimal places.
Question 17 (2 marks)
Z is a normally distributed random variable, determine:
a. x given that P(Z > x)= 0.73, Z ~ N (7.4, 1.12)
b. n given that P(Z < n)= 0.34, Z ~ N (21, 5.32)
Question 18 (4 marks)
Kate surveys 175 people and finds that 95 of them take public transport to work. Estimate the proportion of the population that does not take public transport to work. Determine a 98% confidence interval. Give your answers to four decimal places.
Question 19 (2 marks)
On average, 40% of people spend at least 200 hours a year driving. Using the normal approximation, determine the approximate probability that, in a sample size of 600, more than 60% of people have spent at least 200 hours a year driving.
Question 20 (3 marks)
A deposit of $7,500 is invested at Bank A, and a deposit of $10,000 is invested at Bank B. Bank A offers compound interest continuously at a rate of 7% per annum, whereas Bank B offers compound interest continuously at a rate of 4% per annum. In how many years will the two investments be the same? Give your answer to the nearest appropriate year. Use the compound interest equation below:
A = Pert
where:
- A= accumulated dollars
- P= initial deposit
- r = rate
- t = years
Question 21 (2 marks)
Solve the following. Give your answer to two decimal places.
Question 22 (1 mark)
The area of the region enclosed by the graphs ofy = -(2x – 2)2+ 8andy =x3+ 4x + 3to two decimal places is…
Question 23 (3 marks)
Calculate the values ofxfor which the following functions have the same gradient
Question 24 (5 marks)
Consider the functionf(x)=lnln(2x)+ 3
a. Determine the coordinates of the x-intercept(s) and y-intercept(s)
b. Sketch and label the function with all important features
c. State the transformations required to mapf(x)=ln(x)ontof(x)=lnln(2x)+ 3
Question 25 (2 marks)
Solutions to Maths Methods EA Practice Questions
Click here to download the solutions to the 25 Maths Methods EA practice questions above!
On the hunt for other QCE Maths Methods resources?
We’ve created a bunch of helpful articles and practice questions for studying QCE Maths Methods. Check them out!
- Unit 3 IA2 Short Answer Practice Questions
- Unit 4 IA3 Short Answer Practice Questions
- Download QCE Maths Methods Practice Exam for External Assessment Revision
- How to Structure Your PSMT Report for QCE Mathematical Methods
Are you looking for some extra help with the QCE Maths Methods EA?
We have an incredible team of QCE tutors and mentors!
我们可以帮助你掌握教学大纲的数学方法and ace your upcoming Maths Methods assessments with personalised lessons conducted one-on-one in your home or online!
We’ve supported over8,000 students over the last 11 years, and on average our students score mark improvements of over 20%!
To find out more and get started with an inspirational QCE tutor and mentor,get in touch todayor give us a ring on1300 267 888!
Yalindi Binduhewais an Art of Smart tutor based in Queensland and was part of the very first cohort to go through the ATAR system, so she knows exactly how fun and enjoyable it can be. She is currently studying a Bachelor of Medical Imaging (Honours) at QUT and is loving it. When she’s not doing uni-related stuff or tutoring, she’s hanging out with her friends, rewatching a show for the 100th time, or trying out new crafty projects and discovering that she doesn’t have a talent for everything.









