
很难理解HSC物理公式?
在HSC物理中有这么多不同的公式让人感觉难以承受,但我不能强调你能够识别、解释和知道如何使用这些公式的重要性!
幸运的是,在本文中,我们将为您提供一个逐步指导,以真正掌握HSC物理公式!
所以,让我们开始吧!
为什么理解HSC物理公式很重要?
第一步:确定所有你需要知道的公式
第二步:找出没有给你的公式
第三步:确定何时在考试中使用这些公式
第四步:确定公式告诉你什么
第五步:练习HSC物理公式
步骤6:将HSC物理公式写入内存
为什么理解HSC物理公式很重要?
理解公式的工作原理比死记硬背更重要!
如果你记住一个公式而不理解它,你就不能应用它。
如果你不能把正确的公式应用到问题上,你就得不到正确的答案,你就会失去分数!
所以,我们将带领你完全掌握HSC物理公式并获得6分!
第一步:确定所有你需要知道的公式
拿起公式表、教学大纲和你选择的课本
你可以拿一份这里是第38页的公式表.
你可以得到HSC物理教学大纲在这里。
至于课本,我个人推荐Physics in Focus。
课本中的方程式被突出显示并解释了所有术语,使它们易于查找和理解。通常在介绍公式之后会有一些例子,这样您就可以看到它是如何使用的。
(图片来自物理学聚焦[ISBN-13: 9780170226769]第33页)。
第二步:找出没有给你的公式
虽然在HSC物理中有一个非常有用的公式表,但有一些公式是缺失的。(提示:轨道速度是这样一个被遗漏的公式,还有其他的吗?)
(图片来自物理学聚焦[ISBN-13: 9780170226769]第33页)。
行动点!
一页一页地浏览课本,找到公式就在公式表上划掉。但是我向你保证,还是有一些缺失的,你的任务是找到每一个并记录下来。
第三步:确定何时在考试中使用这些公式
一旦确定了所有需要的公式,就该确定何时需要每个公式了!我本可以让你们在阅读课本的时候做这个题目摆在你们面前但是我这样做是因为我想让它成为一个记忆挑战;你能辨别出每个公式的来源吗?
这是一个快速审计的好方法。如果你准备充分,仔细阅读课本,你应该记住!
如果不是,那也没关系,这可以让你大开眼界,看看在阅读时积极地集中注意力和只是略读之间的区别。
通过对问题的充分了解,以及对公式的充分参考,你很可能会记住其中的大部分,只有少数是你不确定的。只要回顾那些公式,直到你确定这些公式属于哪个主题。
我们有意地一步一步来——你不必对每一种配方都百分百有信心,我也不期望你能记住所有的配方。我只是想让你们确定这些公式来自于哪个主题。
现在你知道了这些公式来自哪些主题,让我们开始真正理解它们吧!
第四步:确定公式告诉你什么
问问你自己:这个等式里有哪些项?
这应该是你看公式时首先问自己的问题,你知道所有的条款是什么吗?
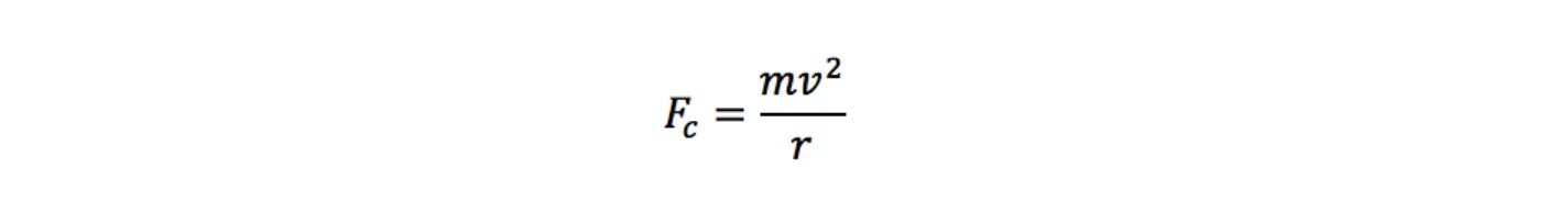
让我们考虑一下之前的轨道速度方程方程中的质量是多少?是绕轨道运行的物体的质量,还是绕轨道运行的行星的质量?
它是绕轨道运行的行星的质量!
我认为,重要的是不仅要理解等式中有什么,而且要理解等式中没有什么!
这可能听起来很奇怪,但是再考虑一下轨道速度的方程,注意到轨道物体的质量并不包括在内。这意味着,无论羽毛是绕地球还是绕月球旋转,只要它们的半径相同,它们就会以相同的速度运动!这是很强大的东西,所有的信息都包含在一个方程中。
问问你自己:这些公式是从哪里来的?
我们已经讲了这么多关于轨道速度的内容,我们还是继续讲吧。你知道它来自哪里吗?
记住,要使一个物体作圆周运动,我们需要向心力。即。

我们也知道这个力一定是由重力引起的,因为重力是一个中心力,没有其他力在起作用。即。

试着理解你使用的公式是从哪里来的.
你不需要在考试中推导出它们,但知道它们的来源会有所帮助。通过上面的推导,你会发现不同的公式可以让你对现象背后的物理有更深的理解。
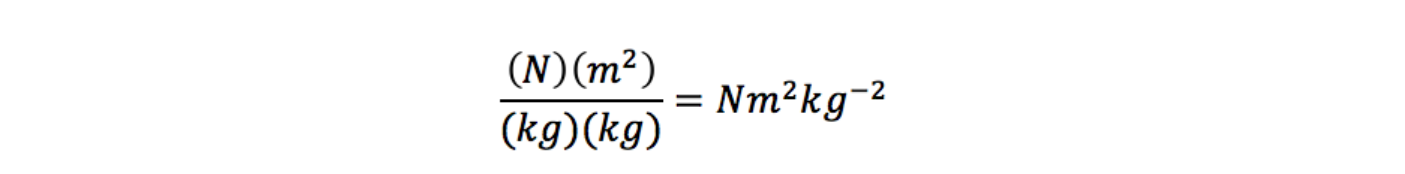
问问你自己:单位是什么?
确保你知道方程中的单位。
例如,在上面的方程中,假设质量和径向距离分别以千克和米为单位。你从计算中得到的最终速度应该是米每秒。单位必须匹配!这是为什么呢?
在这个计算中,所有物体的单位都是米和千克是因为重力常数的定义方式。你们会注意到美国国家航空航天局用国际单位定义了这个常数。(这是他们应该做的!1999年NASA损失了大约1.25亿美元因为他们到处都是自己的单位,而且东西都不匹配!这表明即使是最优秀的人也会犯错误,所以要小心!)

我们在这里偶然发现的是量纲分析,它非常强大!现实世界的物理学家每天都用它来确保他们的理论预测是有意义的。我们可以用它来检查方程是否有意义,它只是一个漂亮的词来确保单位匹配!让我们看看它是如何运作的。
考虑牛顿万有引力定律:

让我们重新安排一下G:

如果我们看一下右边的单位,我们知道重力常数必须有相同的单位:

你会发现这与公式表完全匹配!
第五步:练习HSC物理公式
我知道这个公式,怎么用呢?
你现在应该知道方程中的项是什么,但是你能在具体的问题中找出它们吗?
在下面的问题中我们应该用哪个方程?

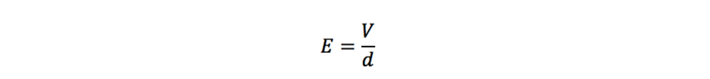
这个问题说:"两个带电板之间产生电场".我们只知道一个关于带电板和电场的方程,它一定是:

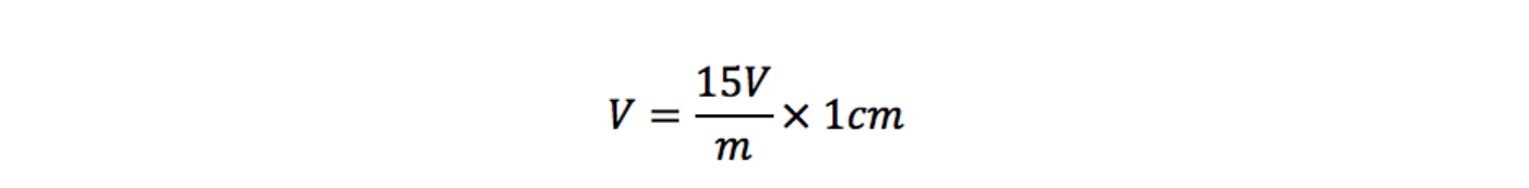
问问你自己,你被要求解决什么?在这种情况下它是V,所以我们最好重新排列一下方程。

在这一点上,我愿意故意犯一个错误,希望你不会犯同样的错误!我们将使用前面的技巧(量纲分析)来捕获错误。我们知道电场强度E,以及分离距离d,所以我们代入!

注意米和厘米的单位不会取消!我们需要换成米。

更好的!这可能不是你第一次听说你的单位必须是国际单位,这可能已经从你的老师灌输给你,但希望你现在明白为什么我们这么做,我们需要单位匹配!
小贴士:越晚更换越好!明智地使用你的计算器!
注意到我直到最后才替换总是尝试重新排列你的方程,并尽可能晚地代入。
物理中的数字通常是难以置信的大或难以理解的小!把它们输入计算器可能是一场噩梦,更不用说容易出错了,所以尽量晚一点做。想两遍就打一遍!
现在值得一提的另一件事是充分利用你的计算器.如果你还不知道,你可以在计算器中存储数字!这在物理学中非常有用因为这些丑陋的大小数字。它可以让输入更容易,所以你可以在屏幕上更容易地容纳更多的计算,并且它可以让错误的机会小得多!
我知道HSC学生最喜欢的是卡西欧FX-82AU Plus——它是最常见的计算器之一。如果你有一个不同的计算器,你应该能够找到如何在用户手册中存储数字。你们大多数人都有下面图片里的计算器。

下面是存储数字的过程,如果你有卡西欧:
对于这个例子,让我们将光速存储在计算器中,这样我们就不必每次都输入它!
- 只需在计算器中输入3*10^8,然后按“=”
- 现在按“SHIFT”,然后按“RCL”,你会看到字母“STO”上面的键,这允许我们存储一个数字。在上图中,我用红色圈出了它。
- 现在我们将选择要存储它的字母。(我推荐C,因为它符合物理学的惯例。)要将其存储在字母“C”,只需按“HYP”(你不需要按“阿尔法”之前选择你想要的字母。)
当你下次想要用光速的时候,你就不用把它打出来了,只要用" C "就可以了。要使用“C”,只需按“ALPHA”,然后按“HYP”。
这可能会让你第一次感到困惑,所以你应该多加练习。试着储存基本电荷,或者电子伏特在字母“E”中。
- 记住,在存储时你不需要按ALPHA键
- 当你想要使用你储存的字母时,你需要按“ALPHA”
步骤6:将HSC物理公式写入内存
我把这个留到最后是有原因的。记住一些你不理解的东西是非常困难的,更重要的是,我认为这是没有意义的。这就是为什么我们花时间来确保你们真的理解了所有的公式,现在记住它们应该不会太难。
对于那些努力记公式的人,我不会太担心,大多数都在公式表上!如果你已经按照上面的步骤做了,并且已经确定了没有在纸上的那些,你只需要记住那些!
如果你已经看了推导过程和公式的来源,你应该能够在考试中重新推导它。如果你不记得了,还有我们的好朋友量纲分析它可以告诉你,你的思路是否正确。请用手写出这些公式,这可能会有很大的不同,确保你也使用它们,做一些问题!
在寻找HSC物理的额外帮助吗?
我们为我们鼓舞人心的HSC物理教练和导师感到自豪!
我们为K-12年的学生提供各种科目的辅导和指beplay安卓西西软件导,在您的家里或在霍恩斯比的艺术校园进行一对一的个性化课程!
想要了解更多,就从一个鼓舞人心的导师开始吧今天就联系!
来自Srinivasan正在寻找宇宙下一个隐藏的真相。在他的HSC期间,他被物理和数学的美所深深吸引,他继续在大学学习物理。他现在是物理/计算机科学双学位的第二年。他非常喜欢物理和数学,他想分享他的热情,在过去的两年里,他一直是一个聪明的艺术教练。beplay体育官方他帮助指导学生的物理以及HSC数学的所有范围,从一般到扩展2。在他的业余时间,你可以发现他在看网球或一级方程式赛车,或者听他最喜欢的播客“你好,互联网”。
