
寻找一些练习问题HSC化学单元5:平衡和酸反应?
看看!
我们都知道,要找到关于Ksp之前的教学大纲中没有提到。
因此,我们收集并编制了20道练习题,涵盖了HSC化学平衡和酸反应的17个学习点。
你还在等什么?磨吧!
静、动平衡
影响平衡的因素
解决方案的平衡
静、动平衡
问题1
完成下表(11分)
(L1.1:进行实际调查以分析化学反应的可逆性,例如:水合和脱水的氯化钴、硝酸铁和硫氰酸钾、燃烧的镁、燃烧的钢棉)
问题2
说明下列反应是静态平衡反应还是动态平衡反应,并提供相关的化学方程式。(6分)
a)镁的燃烧
b)六水铁(III)和KSCN
c)二氧化氮和二氧化碳
(L1.2: M建立静态和动态平衡模型,分析开闭系统的差异)
问题3
动态平衡能在开放系统中进行吗?解释为什么或为什么不。(3标志)
(L1.2: M建立静态和动态平衡模型,分析开闭系统的差异)
问题4
解释燃烧反应和光合反应中焓和熵之间的关系。(4分)
(L1.3:根据熵和焓的影响分析非平衡系统的例子,例如:燃烧反应,光合作用)
问题5
解释碰撞理论解释化学平衡反应反应速率的三种方法。(3标志)
(L1.4:研究碰撞理论与反应速率之间的关系,以分析化学平衡反应)
影响平衡的因素
问题6
利用勒夏特列原理解释了温度升高和体积增加对二氧化氮和四氧化二氮反应的影响。(4分)
(L2.1:研究温度、浓度、体积和/或压力对平衡系统的影响,并解释勒夏特列原理如何用于预测这些影响)
问题7
利用勒夏特列原理,解释氯化钠的加入如何能产生更多的Fe3 +和视交叉上核- - - - - -下面反应中的离子。(4分)
(L2.1:研究温度、浓度、体积和/或压力对平衡系统的影响,并解释勒夏特列原理如何用于预测这些影响)
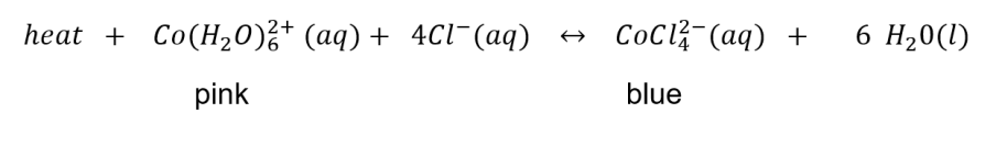
问题8
利用勒夏特列原理,推导出如何提高Co(H)的产率2O)62 +通过温度,浓度和压强。化学反应如下:
(L2.1:研究温度、浓度、体积和/或压力对平衡系统的影响,并解释勒夏特列原理如何用于预测这些影响)
问题9
考虑问题8中的反应。用碰撞理论解释氯化钠的加入是否会增加其产品的产量。(4分)
(L2.2:用碰撞理论解释关于平衡的整体观察结果)
问题10
预测在下列条件下最可能的平衡位置。(4分)
a)正反应活化能低,逆反应活化能高
b)正反应活化能高,逆反应活化能低
c)高温下的负反应热
d)低温负反应热
(第3章:考察活化能和反应热如何影响平衡位置)
问题11
写出每个反应的平衡表达式(3分):
(L3.1:推导平衡表达式(用K表示)情商)用于溶液中发生的均相反应)
问题12
0.5 mol N2将含有O的气体加到10L的室中2产生0.3摩尔NO的气体2达到平衡后的气体。这个反应中三种物质的平衡浓度是多少?包括相关的化学方程式。(4分)
(L3.2:计算K的值情商以及平衡系统中物质的浓度,并利用这些值来预测反应可能进行的方向)
问题13
解释温度的升高如何影响吸热和放热反应的Keq。(4分)
(L3.3:定性分析温度对K值的影响情商)
问题14
在研究硫氰酸铁(III)平衡的Keq的实践中,学生得到了一个不同于理论值的Keq值。建议此错误的来源。(3标志)
(L3.4:进行调查以确定K情商例如,在化学平衡系统中:K情商硫氰酸铁(III)平衡
问题15
推论在下列情况下将会观察到什么。(6分)
(L3.5:探索K的使用情商适用于不同类型的化学反应,包括但不限于:离子溶液的分解,酸和碱的解离)
解决方案的平衡
问题16
解释在水中阳离子的溶解与阴离子的溶解有何不同。如果合适,使用图表。(4分)
(L4.1:描述和分析离子化合物在水中溶解的过程)
问题17
原住民和托雷斯海峡岛民如何利用溶解度平衡来清除苏铁果实中的毒素?(4分)
(L4.2:调查土著居民和托雷斯海峡岛民在去除食物中的毒性时使用溶解度平衡,例如:苏铁果实中的毒素)
问题18
完成下表。(9标志)
(L4.3:调研确定溶解度规律,预测和分析两种离子溶液混合时物质的组成,例如:氯化钾和硝酸银,碘化钾和硝酸铅,硫酸钠和硝酸钡)
问题19
计算以下(6分):
a) Sr的溶解度2 -当Ksp硫酸锶的含量是3.44×10-7?
b) CO的溶解度3.2 -当Ksp碳酸钙的3.36×109?
c) CrO的溶解度42 -当Ksp铬酸钡的含量是1.2×10-10
(L4.4:导出饱和溶液K的平衡表达式sp并计算出一种离子物质的溶解度sp值)
问题20
25.0 mL的0.0020 M的铬酸钾与75.0 mL的0.000125 M的硝酸铅混合。会形成铅(II)铬酸盐沉淀。Ksp铅(II)铬酸盐是1.8 x 10-14年(3标志)
(L4.5:当给出Ksp的标准参考值时,预测沉淀的形成)
以上就是我们在HSC化学模块5的练习问题:平衡和酸反应——祝你好运!
想在平衡和酸反应方面寻求帮助吗?
我们有一个令人难以置信的HSC化学导师和导师团队,他们是新的HSC教学大纲专家!
我们可以帮助您掌握HSC化学教学大纲,并通过在您的家中或我们位于霍恩斯比的艺术校园进行一对一的个性化课程,在即将到来的HSC化学评估中取得优异成绩!
我们支持在过去的10年里有5000名学生,平均来说,我们的学生成绩提高了19% !
想要了解更多,并从一位鼓舞人心的HSC化学导师和导师开始,今天就联系或者给我们打电话1300 267 888 !
凯特琳恩法律2017年毕业,获得全科HSC奖,ATAR成绩97.65。她对辅导充满热情,她喜欢和高中生一beplay安卓西西软件起提高他们的学业、工作和生活技能,为HSC和接下来的活动做准备。作为一个狂热的博主,凯特从2013年开始管理了一个有超过2000人的创意写作页面,从她十几岁的时候就开始向国际读者写作。






